Online Database of Chemicals from Around the World

13-Serine-somatostatin
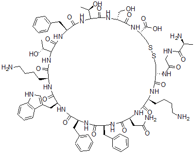
[CAS# 61557-10-6]

Suppliers
CAS#: 61557-10-6
Product: 13-Serine-somatostatin
No suppilers available for the product.
Identification
Name 13-Serine-somatostatin
Synonyms 13-Serine-Somatostatin; Somatostatin (Sheep), 13-D-Serine-; Somatostatin, Ser(13)-
Molecular Structure CAS#: 61557-10-6, 13-Serine-somatostatin
Molecular Formula C76H104N18O19S2
Molecular Weight 1637.89
CAS Registry Number 61557-10-6
SMILES [C@H]3(CCCCN)C(N[C@@H](CC(=O)N)C(=O)N[C@H](C(=O)N[C@H](C(=O)N[C@@H](CC1=C[NH]C2=C1C=CC=C2)C(N[C@H](C(=O)NC(C(=O)N[C@H](C(NC(C(=O)N[C@@H](C(N[C@@H](CSSC[C@@H](C(=O)N3)NC(CNC(=O)[C@H](C)N)=O)C(=O)O)=O)CO)[C@H](O)C)=O)CC4=CC=CC=C4)[C@H](O)C)CCCCN)=O)CC5=CC=CC=C5)CC6=CC=CC=C6)=O
InChI 1S/C76H104N18O19S2/c1-41(79)64(100)82-37-61(99)83-58-39-114-115-40-59(76(112)113)92-72(108)57(38-95)91-75(111)63(43(3)97)94-71(107)54(33-46-23-11-6-12-24-46)90-74(110)62(42(2)96)93-66(102)51(28-16-18-30-78)84-69(105)55(34-47-36-81-49-26-14-13-25-48(47)49)88-68(104)53(32-45-21-9-5-10-22-45)86-67(103)52(31-44-19-7-4-8-20-44)87-70(106)56(35-60(80)98)89-65(101)50(85-73(58)109)27-15-17-29-77/h4-14,19-26,36,41-43,50-59,62-63,81,95-97H,15-18,27-35,37-40,77-79H2,1-3H3,(H2,80,98)(H,82,100)(H,83,99)(H,84,105)(H,85,109)(H,86,103)(H,87,106)(H,88,104)(H,89,101)(H,90,110)(H,91,111)(H,92,108)(H,93,102)(H,94,107)(H,112,113)/t41-,42+,43+,50-,51-,52-,53-,54-,55-,56-,57+,58-,59-,62?,63?/m0/s1
InChIKey NHXLMOGPVYXJNR-IRKDTQSJSA-N
Market Analysis Reports
List of Reports Available for 13-Serine-somatostatin
Related Products
Penprostene  Phorbol dibutyrate  Bis(4-Aminophenyl)(4-Amino-m-Tolyl)Metha...  2-Chlorovaleric Acid  2,2-Bis(Methylthio)Propane  3,4-Dihydro-5-(Oxiranylmethoxy)-1H-Isoqu...  5-[3-(Tert-Butylamino)-2-Hydroxypropoxy]...  Actinomycin C3  5,6-Dihydro-[1,4]Dioxine-2-Carboxylic Ac...  5-(1-Ethoxyethoxy)Pent-1-Yne  6-(1-Ethoxyethoxy)Hex-2-Yn-1-Ol  (E)-6-(1-Ethoxyethoxy)Hex-2-En-1-Ol  (E)-1-Chloro-6-(1-Ethoxyethoxy)Hex-2-Ene  (E)-(1-Ethoxyethoxy)Tridec-4-En-7-Yne  (E)-Tridec-4-En-7-Yn-1-Ol