Online Database of Chemicals from Around the World

生物素基-肾上腺皮质激素
[CAS# 61125-54-0]

供应商
CAS#: 61125-54-0
产品: 生物素基-肾上腺皮质激素
暂时没有厂家供应该产品。
基本信息
产品名称 生物素基-肾上腺皮质激素
英文名 Biotinyl-Acth
别名 Biotinyl-Acth; Biotinylcorticotropin; Alpha1-25-Corticotropin (Pig), 25-(N6-(5-(Hexahydro-2-Oxo-1H-Thieno(3,4-D)Imidazol-4-Yl)-1-Oxopentyl)-L-Lysinamide), (3As-(3Aalpha,4Beta,6Aalpha))-
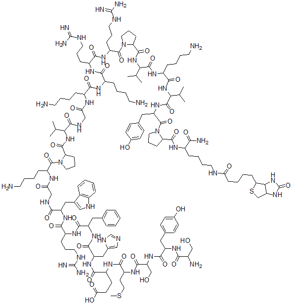
分子结构 CAS 登录号:61125-54-0, 生物素基-肾上腺皮质激素
分子式 C152H237N45O33S2
分子量 3286.95
CAS 登录号 61125-54-0
分子行输入简码 SMILES C%11=C(CC(C(N3C(C(NC(C(N)=O)CCCCNC(=O)CCCCC1SCC2C1NC(N2)=O)=O)CCC3)=O)NC(C(NC(C(NC(C(NC(C4N(CCC4)C(C(NC(C(CCCNC(N)=N)NC(C(NC(C(NC(CNC(C(NC(=O)C5N(CCC5)C(C(NC(CNC(C(NC(C(NC(C(NC(C(NC(C(NC(C(NC(C(NC(C(CC6=CC=C(C=C6)O)NC(C(CO)N)=O)=O)CO)=O)CCSC)=O)CCC(=O)O)=O)CC7=CN=C[NH]7)=O)CC8=CC=CC=C8)=O)CCCNC(N)=N)=O)CC9=C[NH]C%10=C9C=CC=C%10)=O)=O)CCCCN)=O)C(C)C)=O)=O)CCCCN)=O)CCCCN)=O)=O)CCCNC(N)=N)=O)=O)C(C)C)=O)CCCCN)=O)C(C)C)=O)C=CC(=C%11)O
国际化学标识码 InChI 1S/C152H237N45O33S2/c1-84(2)122(192-141(222)115-44-29-67-195(115)146(227)105(39-18-23-62-156)175-120(204)78-171-128(209)109(74-90-76-170-96-34-12-11-33-94(90)96)186-132(213)102(41-26-65-168-150(161)162)179-136(217)108(71-87-31-9-8-10-32-87)185-138(219)110(75-91-77-165-83-173-91)187-133(214)103(56-57-121(205)206)180-134(215)104(58-70-231-7)181-139(220)112(81-199)189-137(218)107(184-127(208)95(157)80-198)72-88-48-52-92(200)53-49-88)143(224)172-79-119(203)174-98(36-15-20-59-153)129(210)177-99(37-16-21-60-154)130(211)178-101(40-25-64-167-149(159)160)131(212)183-106(42-27-66-169-151(163)164)147(228)196-68-30-45-116(196)142(223)193-124(86(5)6)144(225)182-100(38-17-22-61-155)135(216)191-123(85(3)4)145(226)188-111(73-89-50-54-93(201)55-51-89)148(229)197-69-28-43-114(197)140(221)176-97(126(158)207)35-19-24-63-166-118(202)47-14-13-46-117-125-113(82-232-117)190-152(230)194-125/h8-12,31-34,48-55,76-77,83-86,95,97-117,122-125,170,198-201H,13-30,35-47,56-75,78-82,153-157H2,1-7H3,(H2,158,207)(H,165,173)(H,166,202)(H,171,209)(H,172,224)(H,174,203)(H,175,204)(H,176,221)(H,177,210)(H,178,211)(H,179,217)(H,180,215)(H,181,220)(H,182,225)(H,183,212)(H,184,208)(H,185,219)(H,186,213)(H,187,214)(H,188,226)(H,189,218)(H,191,216)(H,192,222)(H,193,223)(H,205,206)(H4,159,160,167)(H4,161,162,168)(H4,163,164,169)(H2,190,194,230)
国际化学标识检索码 InChIKey TZJXNGPMEFMVGA-UHFFFAOYSA-N
市场分析报告
请浏览生物素基-肾上腺皮质激素市场分析报告总目录
相关产品
[(6-氨基-1,4-二氢-4-氧代嘧啶)-2-基...  异丁烯-对甲基苯乙烯共聚物  5,5-(1-甲基乙亚基)二(4,1-亚苯基氧基)...  齐美定二盐酸盐  (2-(二苯基乙酰氧基)乙基)二乙基甲基溴化铵  3-(2-硝基-1-丙烯基)苯酚  N-苄基-N-苯基吡咯烷-1-乙胺单盐酸盐  Chiriquitoxin  (23R,25R)-5alpha-螺甾烷-3bet...  9-羟基苯并(a)芘-4,5-环氧化物  乙烯硒酮  N-乙酰基-去甲胞壁酰-L-丙氨酰-D-异谷氨酰胺  4,4'-二[[6-苯胺基-4-甲氧基-1,3,5...  1-(2-氯乙基)-3-(4beta-甲氧基环己烷...  [(1alpha,4beta)-4-[3-(2-氯...