Online Database of Chemicals from Around the World

C-[2-[2-[(1-氧代十八碳-9-烯基)氨基]乙氧基]乙基]磺酸基琥珀酸酯二钠
[CAS# 56388-43-3]

供应商
BOC Sciences 美国 询价快递  
+1 (631) 485-4226
info@bocsci.com
Skype 聊天
化学品供销商
chemBlink 集群供应商(2012 年起)
Chemstock, Inc. 美国 询价快递  
+1 (715) 726-1437
Evelyn@chemstock.com
化学品供销商
基本信息
产品名称 C-[2-[2-[(1-氧代十八碳-9-烯基)氨基]乙氧基]乙基]磺酸基琥珀酸酯二钠
英文名 Disodium C-[2-[2-[(1-Oxooctadec-9-Enyl)Amino]Ethoxy]Ethyl] Sulphonatosuccinate
别名 Disodium 4-[2-[2-[[(Z)-Octadec-9-Enoyl]Amino]Ethoxy]Ethoxy]-4-Oxo-3-Sulfonato-Butanoate; Disodium 4-Oxo-4-[2-[2-[[(Z)-1-Oxooctadec-9-Enyl]Amino]Ethoxy]Ethoxy]-3-Sulfonatobutanoate; Disodium 4-Keto-4-[2-[2-[[(Z)-Octadec-9-Enoyl]Amino]Ethoxy]Ethoxy]-3-Sulfonato-Butyrate
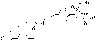
分子结构 CAS 登录号:56388-43-3, C-[2-[2-[(1-氧代十八碳-9-烯基)氨基]乙氧基]乙基]磺酸基琥珀酸酯二钠
分子式 C26H45NNa2O9S
分子量 593.68
CAS 登录号 56388-43-3
EINECS 登录号 260-143-1
分子行输入简码 SMILES C(C([S]([O-])(=O)=O)C(OCCOCCNC(=O)CCCCCCC\C=C/CCCCCCCC)=O)C([O-])=O.[Na+].[Na+]
国际化学标识码 InChI 1S/C26H47NO9S.2Na/c1-2-3-4-5-6-7-8-9-10-11-12-13-14-15-16-17-24(28)27-18-19-35-20-21-36-26(31)23(22-25(29)30)37(32,33)34;;/h9-10,23H,2-8,11-22H2,1H3,(H,27,28)(H,29,30)(H,32,33,34);;/q;2*+1/p-2/b10-9-;;
国际化学标识检索码 InChIKey PCDVINMRZHPVSF-XXAVUKJNSA-L
市场分析报告
请浏览C-[2-[2-[(1-氧代十八碳-9-烯基)氨基]乙氧基]乙基]磺酸基琥珀酸酯二钠市场分析报告总目录
相关产品
聚氧乙烯十三烷基乙酸  奥他酰胺  alpha-羟基美托洛尔  甘氨酸 [1-14C]  匹尔屈嗪  N-[4-[[4-[(4-羟基苯基)偶氮]-2-甲...  1-溴-1-硝基乙烷  单十四碳烯酸甘油酯  中位-1,2:3,4-二环氧丁烷  2-溴-乙酸(四氢-2-呋喃基)甲基酯  2-甲基-3-磺基丙基苯并噻唑鎓内盐  苄基-(6-甲基-苯并噻唑-2-基)-胺  4-羟基-2-苯基-5-嘧啶羧酸  2-苄基苯甲酰基乙酸乙酯  [(4-硝基苯基)甲基]琥珀酸