Online Database of Chemicals from Around the World

1,2-二花生四烯酰基-甘油-3-磷酰乙醇胺
[CAS# 5634-86-6]

供应商
CAS#: 5634-86-6
产品: 1,2-二花生四烯酰基-甘油-3-磷酰乙醇胺
暂时没有厂家供应该产品。
基本信息
产品名称 1,2-二花生四烯酰基-甘油-3-磷酰乙醇胺
英文名 1,2-Diarachidonoyl-Glycero-3-Phosphoethanolamine
别名 [(1R)-1-[(2-Aminoethoxy-Hydroxy-Phosphoryl)Oxymethyl]-2-[(5E,8E,11E,14E)-Icosa-5,8,11,14-Tetraenoyl]Oxy-Ethyl] (5E,8E,11E,14E)-Icosa-5,8,11,14-Tetraenoate; (5E,8E,11E,14E)-Icosa-5,8,11,14-Tetraenoic Acid [(1R)-1-[(2-Aminoethoxy-Hydroxyphosphoryl)Oxymethyl]-2-[(5E,8E,11E,14E)-1-Oxoicosa-5,8,11,14-Tetraenoxy]Ethyl] Ester; (5E,8E,11E,14E)-Icosa-5,8,11,14-Tetraenoic Acid [(1R)-1-[(2-Aminoethoxy-Hydroxy-Phosphoryl)Oxymethyl]-2-[(5E,8E,11E,14E)-Icosa-5,8,11,14-Tetraenoyl]Oxy-Ethyl] Ester
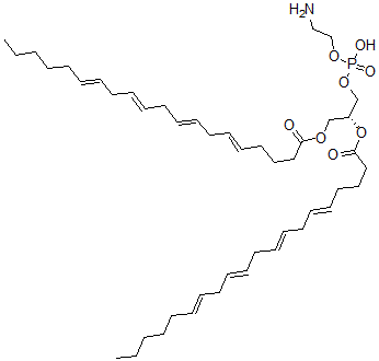
分子结构 CAS 登录号:5634-86-6, 1,2-二花生四烯酰基-甘油-3-磷酰乙醇胺
分子式 C45H74NO8P
分子量 788.06
CAS 登录号 5634-86-6
分子行输入简码 SMILES [C@H](OC(=O)CCC\C=C\C\C=C\C\C=C\C\C=C\CCCCC)(CO[P](OCCN)(=O)O)COC(=O)CCC\C=C\C\C=C\C\C=C\C\C=C\CCCCC
国际化学标识码 InChI 1S/C45H74NO8P/c1-3-5-7-9-11-13-15-17-19-21-23-25-27-29-31-33-35-37-44(47)51-41-43(42-53-55(49,50)52-40-39-46)54-45(48)38-36-34-32-30-28-26-24-22-20-18-16-14-12-10-8-6-4-2/h11-14,17-20,23-26,29-32,43H,3-10,15-16,21-22,27-28,33-42,46H2,1-2H3,(H,49,50)/b13-11+,14-12+,19-17+,20-18+,25-23+,26-24+,31-29+,32-30+/t43-/m1/s1
国际化学标识检索码 InChIKey JTERLNYVBOZRHI-RIIGGKATSA-N
物理化学性质
密度 1.029g/cm3 (计算值)
沸点 791.956°C at 760 mmHg (计算值)
闪点 432.76°C (计算值)
市场分析报告
请浏览1,2-二花生四烯酰基-甘油-3-磷酰乙醇胺市场分析报告总目录
相关产品
1,1'-氧基二(3,4-二氯苯)  1a,2,4b,5a,6,7,7a,8-八氢-1a...  6-氨基-2(3H)-苯并噻唑酮  二氯丙烯  四氟乙烯与 1,1-二氟乙烯和三氟(三氟甲氧基)乙...  N-(2-乙基己基)-1-[[3-甲基-4-[(3...  N-(2-乙基己基)萘-2-胺  N-十三烷基萘-2-胺  N,N'-萘-1,5-二基二[4-[(3-氯-2-...  N-(2-氯-6-甲基苯基)-4,5-二氢-1H-...  N-磷酰亮氨酰色氨酸  2,4,6-三(2,4,6-三溴苯氧基)-1,3,...  裂叶榆萜 C 7-甲基醚  4-(2-二甲基氨基-乙基)-苯胺  N,N-二炔丙基-2-苯乙胺