Online Database of Chemicals from Around the World

异樱草糖
[CAS# 534-98-5]

供应商
International Laboratory Limited 美国 询价快递  
+1 (650) 278-9963
admin@intlab.org
化学品生产商(2002 年起)
基本信息
产品名称 异樱草糖
英文名 Isoprimeverose
别名 (2R,3S,4R,5R)-2,3,4,5-Tetrahydroxy-6-[(2R,3R,4S,5R)-3,4,5-Trihydroxytetrahydropyran-2-Yl]Oxy-Hexanal; (2R,3S,4R,5R)-2,3,4,5-Tetrahydroxy-6-[[(2R,3R,4S,5R)-3,4,5-Trihydroxy-2-Tetrahydropyranyl]Oxy]Hexanal; (2R,3S,4R,5R)-2,3,4,5-Tetrahydroxy-6-[(2R,3R,4S,5R)-3,4,5-Trihydroxyoxan-2-Yl]Oxy-Hexanal
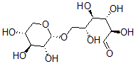
分子结构 CAS 登录号:534-98-5, 异樱草糖
分子式 C11H20O10
分子量 312.27
CAS 登录号 534-98-5
分子行输入简码 SMILES [C@H]1([C@H]([C@@H](CO[C@@H]1OC[C@H]([C@H]([C@@H]([C@H](C=O)O)O)O)O)O)O)O
国际化学标识码 InChI 1S/C11H20O10/c12-1-4(13)7(16)8(17)5(14)2-20-11-10(19)9(18)6(15)3-21-11/h1,4-11,13-19H,2-3H2/t4-,5+,6+,7+,8+,9-,10+,11-/m0/s1
国际化学标识检索码 InChIKey XOPPYWGGTZVUFP-VUMGGCQHSA-N
市场分析报告
请浏览异樱草糖市场分析报告总目录
相关产品
N(7)-羟基乙基鸟嘌呤  2-甲基-2-(2-甲基苯氧基)丙酸  2-甲基-2-(3-甲基苯氧基)丙酸  4-[[2-[4-[二(2-氯乙基)氨基]苯基]乙...  N-甲基-4'-[4-(甲基氨基)苯基偶氮]乙酰苯...  2,2'-[1,2-乙烯二基二[(3-磺基-4,1...  2-溴苯并噻吩 1,1-二氧化物  3-甲基-3-(4-异丁基苯基)环氧乙烷-2-羧酸...  1-(吗啉-4-基甲基)-3H-苯并咪唑-2-硫酮  二仲丁基亚硝胺  2-(甲硫基)乙烷磺酸  甲基丙烯酸 7-氧代-4-(苯基偶氮)-1,3,5...  2-(4,5-二溴-6-羟基-3-氧代-3H-氧杂...  1-(2-氯乙基)哌嗪  2-二甲基氨基-3-氯-1,4-萘醌