Online Database of Chemicals from Around the World

二(N,N,N-三乙基乙铵)碳酸酯
[CAS# 52724-28-4]

供应商
CAS#: 52724-28-4
产品: 二(N,N,N-三乙基乙铵)碳酸酯
暂时没有厂家供应该产品。
基本信息
产品名称 二(N,N,N-三乙基乙铵)碳酸酯
英文名 Bis(N,N,N-Triethylethanaminium) Carbonate
别名 BIS(TETRAETHYLAMMONIUM) CARBONATE
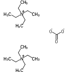
分子结构 CAS 登录号:52724-28-4, 二(N,N,N-三乙基乙铵)碳酸酯
分子式 C17H40N2O3
分子量 320.51
CAS 登录号 52724-28-4
分子行输入简码 SMILES [O-]C([O-])=O.CC[N+](CC)(CC)CC.CC[N+](CC)(CC)CC
国际化学标识码 InChI 1S/2C8H20N.CH2O3/c2*1-5-9(6-2,7-3)8-4;2-1(3)4/h2*5-8H2,1-4H3;(H2,2,3,4)/q2*+1;/p-2
国际化学标识检索码 InChIKey APBDREXAUGXCCV-UHFFFAOYSA-L
市场分析报告
请浏览二(N,N,N-三乙基乙铵)碳酸酯市场分析报告总目录
相关产品
铑(3+)三(2,6,6-三甲基双环[3.1.1]...  2-(2,2-二氟乙烯基)-1,3-苯并噻唑  (2Z)-4-(4-吗啉基)-4-氧代-2-丁烯酸  (3,4-二甲基-3-环戊烯-1-基)乙酸  (5-甲基-1H-苯并咪唑-2-基)甲硫醇  N-(1H-咪唑-2-基)乙酰胺  [(2S)-1-氨基-2-哌啶基]甲醇  [(2R)-1-氨基-2-哌啶基]甲醇  苯基苯基亚膦酸酯  乙基1,3-二甲基-4-氧代-4,7-二氢-1H-...  (2-{2-[(3-乙基-5-甲基-1,3-苯并噻...  1-(3,4-二羟基-2-萘基)乙酮  4,4'-联苯二胺乙酸酯(1:1)  2-甲基-4-苯基-1,3-恶唑-5(2H)-酮  2-亚甲基十二碳n酸