Online Database of Chemicals from Around the World

3-[[[[(E)-3,7-Dimethyl-2,6-Octadienyl]Oxy]Imino]Methyl]Rifamycin Sv
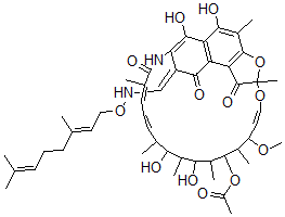
[CAS# 52437-59-9]

Suppliers
CAS#: 52437-59-9
Product: 3-[[[[(E)-3,7-Dimethyl-2,6-Octadienyl]Oxy]Imino]Methyl]Rifamycin Sv
No suppilers available for the product.
Identification
Name 3-[[[[(E)-3,7-Dimethyl-2,6-Octadienyl]Oxy]Imino]Methyl]Rifamycin Sv
Synonyms 3-Formylrifamycin Sv O-Geranyloxime; Brn 5418835
Molecular Structure CAS#: 52437-59-9, 3-[[[[(E)-3,7-Dimethyl-2,6-Octadienyl]Oxy]Imino]Methyl]Rifamycin Sv
Molecular Formula C48H64N2O13
Molecular Weight 877.04
CAS Registry Number 52437-59-9
SMILES C(ON/C=C2/C(=O)C1=C3C(=C(C4=C1C(=O)C(O/C=C/C(OC)C(C(OC(=O)C)C(C(O)C(C(O)C(C)\C=C\C=C(C(=O)NC2=C3O)\C)C)C)C)(O4)C)C)O)\C=C(\CCC=C(C)C)C
InChI 1S/C48H64N2O13/c1-24(2)15-13-16-25(3)19-22-61-49-23-33-38-43(56)36-35(42(33)55)37-45(31(9)41(36)54)63-48(11,46(37)57)60-21-20-34(59-12)28(6)44(62-32(10)51)30(8)40(53)29(7)39(52)26(4)17-14-18-27(5)47(58)50-38/h14-15,17-21,23,26,28-30,34,39-40,44,49,52-54,56H,13,16,22H2,1-12H3,(H,50,58)/b17-14+,21-20+,25-19+,27-18-,33-23+
InChIKey KBRHUIPJKIFPBG-XSXAILTASA-N
Market Analysis Reports
List of Reports Available for 3-[[[[(E)-3,7-Dimethyl-2,6-Octadienyl]Oxy]Imino]Methyl]Rifamycin Sv
Related Products
1-Chloro-2-(1-Chloropropan-2-Yloxy)Propa...  alpha-D-Glucopyranoside, beta-D-Fructofu...  1-Eicosene  Bis(1-Chloromethyl-1-Methylethyl) Sulfid...  [6S,(+)]-6-[(1S)-1,2,3,4-Tetrahydro-6,7-...  Spiro[Pyrimidine-5,1'-Cyclohexane]-2,4,6...  (S)-2-Amino-3-(5-Chloro-1H-Indol-3-Yl)-P...  3-(o-Tolyloxy)-1-Propanol  2'-Fluoro-beta-Methylbiphenyl-4-Propioni...  2-[2-[(5-Bromo-3-Ethyl-3H-Benzothiazol-2...  N-[3-(2-Amino-5-methoxyphenyl)-3-oxoprop...  Edeine A  Edeine B  Acecobarb  1,3-Isobenzofurandione, Polymer With 2,2...