Online Database of Chemicals from Around the World

Sulfoevernan
[CAS# 52108-89-1]

供应商
CAS#: 52108-89-1
产品: Sulfoevernan
暂时没有厂家供应该产品。
基本信息
产品名称 Sulfoevernan
英文名 Sulfoevernan
别名 [(2R,3R,4S,5R,6R)-6-[(2R,3R,4S,5R,6R)-2-[(2R,3S,4S,5R,6R)-4,5-Dihydroxy-6-(Hydroxymethyl)-2-(Sulfonatooxymethyl)Tetrahydropyran-3-Yl]Oxy-3,5-Dihydroxy-6-(Sulfonatooxymethyl)Tetrahydropyran-4-Yl]Oxy-4-[(2R,3R,4S,5R,6R)-4-[(2R,3R,4R,5S,6S)-3,4-Dihydroxy-5-(Hydroxymethyl)-6-(Sulfonatooxymethyl)Tetrahydropyran-2-Yl]Oxy-3,5-Dihydroxy-6-(Sulfonatooxymethyl)Tetrahydropyran-2-Yl]Oxy-3,5-Dihydroxy-Tetrahydropyran-2-Yl]Methyl Sulfate; [(2R,3R,4S,5R,6R)-6-[[(2R,3R,4S,5R,6R)-2-[[(2R,3S,4S,5R,6R)-4,5-Dihydroxy-6-(Hydroxymethyl)-2-(Sulfonatooxymethyl)-3-Tetrahydropyranyl]Oxy]-3,5-Dihydroxy-6-(Sulfonatooxymethyl)-4-Tetrahydropyranyl]Oxy]-4-[[(2R,3R,4S,5R,6R)-4-[[(2R,3R,4R,5S,6S)-3,4-Dihydroxy-5-(Hydroxymethyl)-6-(Sulfonatooxymethyl)-2-Tetrahydropyranyl]Oxy]-3,5-Dihydroxy-6-(Sulfonatooxymethyl)-2-Tetrahydropyranyl]Oxy]-3,5-Dihydroxy-2-Tetrahydropyranyl]Methyl Sulfate; [(2R,3R,4S,5R,6R)-6-[(2R,3R,4S,5R,6R)-2-[(2R,3S,4S,5R,6R)-4,5-Dihydroxy-6-Methylol-2-(Sulfatomethyl)Tetrahydropyran-3-Yl]Oxy-3,5-Dihydroxy-6-(Sulfatomethyl)Tetrahydropyran-4-Yl]Oxy-4-[(2R,3R,4S,5R,6R)-4-[(2R,3R,4R,5S,6S)-3,4-Dihydroxy-5-Methylol-6-(Sulfatomethyl)Tetrahydropyran-2-Yl]Oxy-3,5-Dihydroxy-6-(Sulfatomethyl)Tetrahydropyran-2-Yl]Oxy-3,5-Dihydroxy-Tetrahydropyran-2-Yl]Methyl Sulfate
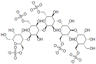
分子结构 CAS 登录号:52108-89-1, Sulfoevernan
分子式 C32H51O41S5
分子量 1252.03
CAS 登录号 52108-89-1
分子行输入简码 SMILES [C@@H]5(O[C@H]2O[C@@H]([C@@H](O)[C@H](O[C@H]1O[C@@H]([C@H]([C@@H](O)[C@H]1O)CO)CO[S]([O-])(=O)=O)[C@H]2O)CO[S]([O-])(=O)=O)[C@@H](O)[C@@H](O[C@@H]3[C@@H](O)[C@H](O[C@@H]([C@H]3O)CO[S]([O-])(=O)=O)O[C@H]4[C@@H](O)[C@@H](O)[C@H](O[C@@H]4CO[S]([O-])(=O)=O)CO)O[C@@H]([C@H]5O)CO[S]([O-])(=O)=O
国际化学标识码 InChI 1S/C32H56O41S5/c33-1-8-10(3-60-74(45,46)47)66-29(21(41)15(8)35)71-26-17(37)12(5-62-76(51,52)53)68-31(23(26)43)73-28-19(39)13(6-63-77(54,55)56)69-32(24(28)44)72-27-18(38)11(4-61-75(48,49)50)67-30(22(27)42)70-25-14(7-64-78(57,58)59)65-9(2-34)16(36)20(25)40/h8-44H,1-7H2,(H,45,46,47)(H,48,49,50)(H,51,52,53)(H,54,55,56)(H,57,58,59)/p-5/t8-,9-,10-,11-,12-,13-,14-,15-,16+,17-,18-,19-,20+,21-,22-,23-,24-,25-,26+,27+,28+,29-,30-,31-,32-/m1/s1
国际化学标识检索码 InChIKey RPKFABXAVQGMDX-LVVATKCBSA-I
市场分析报告
请浏览Sulfoevernan市场分析报告总目录
相关产品
17,20-二硫杂三十六烷  3',4'-二乙基-1-(1,2,3,4-四氢萘-...  硅酸镁锆盐  (E,Z,E)-2-(甲氧基亚甲基)-3-甲基-6...  二丁基锡 2,2,2-三氟乙酸盐  5,7-二溴-2-苯并恶唑胺  睾酮半琥珀酸盐  1-[(1,1-二甲基乙基)偶氮]-1,3-二甲氧...  N-6-氨基己酰-alpha-吡喃半乳糖基胺  N-(2-甲基-1-苯基丙烷-2-基)甲酰胺  (6E)-2-溴-6-[[(4-溴苯基)氨基]-氯...  二(辛醇)锡  (6E)-6-[1-(羟基氨基)-2-苯基乙亚基]...  4-[2-(2-乙氧基丙-1-烯基)-1,3-苯并...  (6R,7R)-3-[(1-甲基四唑-5-基)巯基...