Online Database of Chemicals from Around the World

Streptonicozid
[CAS# 4480-58-4]

Suppliers
BOC Sciences USA Inquire  
+1 (631) 485-4226
info@bocsci.com
Skype Chat
Chemical distributor
chemBlink massive supplier since 2012
International Laboratory Limited USA Inquire  
+1 (650) 278-9963
admin@intlab.org
Chemical manufacturer since 2002
Identification
Name Streptonicozid
Synonyms N-[[5-(2,4-Diguanidino-3,5,6-Trihydroxy-Cyclohexoxy)-4-[4,5-Dihydroxy-6-(Hydroxymethyl)-3-Methylamino-Tetrahydropyran-2-Yl]Oxy-3-Hydroxy-2-Methyl-Tetrahydrofuran-3-Yl]Methyleneamino]Pyridine-4-Carboxamide; N-[[5-(2,4-Diguanidino-3,5,6-Trihydroxycyclohexoxy)-4-[[4,5-Dihydroxy-6-(Hydroxymethyl)-3-Methylamino-2-Tetrahydropyranyl]Oxy]-3-Hydroxy-2-Methyl-3-Tetrahydrofuranyl]Methyleneamino]-4-Pyridinecarboxamide; N-[[5-(2,4-Diguanidino-3,5,6-Trihydroxy-Cyclohexoxy)-4-(4,5-Dihydroxy-3-Methylamino-6-Methylol-Tetrahydropyran-2-Yl)Oxy-3-Hydroxy-2-Methyl-Tetrahydrofuran-3-Yl]Methyleneamino]Isonicotinamide
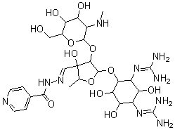
Molecular Structure CAS#: 4480-58-4, Streptonicozid
Molecular Formula C27H44N10O12
Molecular Weight 700.70
CAS Registry Number 4480-58-4
SMILES C4=C(C(=O)N\N=C\C3(O)C(OC1OC(C(O)C(O)C1NC)CO)C(OC2C(N=C(N)N)C(O)C(N=C(N)N)C(O)C2O)OC3C)C=CN=C4
InChI 1S/C27H44N10O12/c1-9-27(45,8-34-37-22(44)10-3-5-33-6-4-10)21(49-23-14(32-2)18(42)15(39)11(7-38)47-23)24(46-9)48-20-13(36-26(30)31)16(40)12(35-25(28)29)17(41)19(20)43/h3-6,8-9,11-21,23-24,32,38-43,45H,7H2,1-2H3,(H,37,44)(H4,28,29,35)(H4,30,31,36)/b34-8+
InChIKey JCBKYEIGGFKWPQ-IOIBFPCHSA-N
Properties
Density 1.869g/cm3 (Cal.)
Market Analysis Reports
List of Reports Available for Streptonicozid
Related Products
(1,2-Dimethylpropyl)Benzene  2H-Cyclohepta(b)Furan-2-One  3-Octyl-2-Oxiraneoctanol  5,5'-[(4-Methyl-1,3-Phenylene)Bis(Azo)]B...  1,1-Dimethyl-3-phenylurea trichloroaceta...  Tris(2-Methyl-4-Diethylaminophenyl)Metha...  1-[3-(3-Phenyl-2-Buten-1-Yl)-3,8-Diazabi...  alpha-Naphthyl Caprylate  4'-Fluoro-2'-Nitroacetanilide  2-Furyl(Phenyl)Methanol  4-Nonanone  4-Methyl-3-Heptene  N-(3-Anilino-2-propenylidene)aniline  Deuteroporphyrin Ix Dihydrochloride  Etioporphyrin I