Online Database of Chemicals from Around the World

3-[(2-乙氧基乙氧基)亚氨基甲基]利福霉素 SV
[CAS# 41887-56-3]

供应商
CAS#: 41887-56-3
产品: 3-[(2-乙氧基乙氧基)亚氨基甲基]利福霉素 SV
暂时没有厂家供应该产品。
基本信息
产品名称 3-[(2-乙氧基乙氧基)亚氨基甲基]利福霉素 SV
英文名 3-[(2-Ethoxyethoxy)Iminomethyl]Rifamycin SV
别名 3-Formylrifamycin Sv O-(2-Ethoxyethyl)Oxime; Brn 5418453
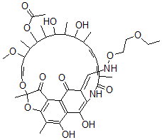
分子结构 CAS 登录号:41887-56-3, 3-[(2-乙氧基乙氧基)亚氨基甲基]利福霉素 SV
分子式 C42H56N2O14
分子量 812.91
CAS 登录号 41887-56-3
分子行输入简码 SMILES C(ON/C=C2/C(=O)C1=C3C(=C(C4=C1C(=O)C(O/C=C/C(OC)C(C(OC(=O)C)C(C(O)C(C(O)C(C)\C=C\C=C(C(=O)NC2=C3O)\C)C)C)C)(O4)C)C)O)COCC
国际化学标识码 InChI 1S/C42H56N2O14/c1-11-54-17-18-56-43-19-27-32-37(50)30-29(36(27)49)31-39(25(7)35(30)48)58-42(9,40(31)51)55-16-15-28(53-10)22(4)38(57-26(8)45)24(6)34(47)23(5)33(46)20(2)13-12-14-21(3)41(52)44-32/h12-16,19-20,22-24,28,33-34,38,43,46-48,50H,11,17-18H2,1-10H3,(H,44,52)/b13-12+,16-15+,21-14-,27-19+
国际化学标识检索码 InChIKey HOFYRMLDHXLKDU-NAAHERLPSA-N
市场分析报告
请浏览3-[(2-乙氧基乙氧基)亚氨基甲基]利福霉素 SV市场分析报告总目录
相关产品
1-苯并硫杂卓 1,1-二氧化物  3-(2-甲基-5-氧代-2-恶唑啉-4-亚基甲基...  苯甲酰基降爱康宁  2-乙基丁酸 2,2,2-三氯乙基酯  2-(癸基硫代)乙醇  2,2'-[十二烷-1,12-二基二(硫代)]二乙...  (3-氯-2-羟基丙基)十二烷基二甲基氯化铵  1-乙基氧代琥珀酸酯钠盐  3-氨基-4-(二乙基氨基)苯磺酰胺  2-羟基丙基溴乙酸酯  2,5-二氢-1H-吡唑-3-胺二盐酸盐  3b,16b-二(乙酰氧基)-14,15b-环氧-...  N-磷酰脒基牛磺酸  [1,1'-联苯]-2,3',4-三醇  1,5-二甲基-1,4-环己二烯