Online Database of Chemicals from Around the World

3-(Cyclohexyloxyiminomethyl)Rifamycin SV
[CAS# 41776-66-3]

Suppliers
CAS#: 41776-66-3
Product: 3-(Cyclohexyloxyiminomethyl)Rifamycin SV
No suppilers available for the product.
Identification
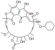
Name 3-(Cyclohexyloxyiminomethyl)Rifamycin SV
Synonyms 3-Formylrifamycin Sv O-Cyclohexyloxime; Brn 5418532
Molecular Structure CAS#: 41776-66-3, 3-(Cyclohexyloxyiminomethyl)Rifamycin SV
Molecular Formula C44H58N2O13
Molecular Weight 822.95
CAS Registry Number 41776-66-3
SMILES CC1C(O)C(C(O)C(C)\C=C\C=C(C(=O)NC4=C(O)C3=C(C2=C(OC(O/C=C/C(OC)C(C1OC(=O)C)C)(C2=O)C)C(=C3O)C)C(=O)\C4=C\NOC5CCCCC5)\C)C
InChI 1S/C44H58N2O13/c1-21-14-13-15-22(2)43(54)46-34-29(20-45-59-28-16-11-10-12-17-28)38(51)31-32(39(34)52)37(50)26(6)41-33(31)42(53)44(8,58-41)56-19-18-30(55-9)23(3)40(57-27(7)47)25(5)36(49)24(4)35(21)48/h13-15,18-21,23-25,28,30,35-36,40,45,48-50,52H,10-12,16-17H2,1-9H3,(H,46,54)/b14-13+,19-18+,22-15-,29-20+
InChIKey BZFZTIRGPHQSEW-MDJAIUFQSA-N
Market Analysis Reports
List of Reports Available for 3-(Cyclohexyloxyiminomethyl)Rifamycin SV
Related Products
3-[(2-Methoxyethoxy)Iminomethyl]Rifamyci...  3-[(1-Methylhexyl)Oxyiminomethyl]Rifamyc...  2,5-Diethyl-2,5-(Epoxymethano)-1,3-Dioxa...  Acroptilin  trans-3-Bromodihydro-3,5-Dimethylfuran-2...  3-Chloro-N-Methylpropanamide  2-N-Octylfuran  9,12-Dioxooctadecanoic Acid  2-(4-Dibenzofuranyloxy)-2-Methylpropioni...  Ethyl 2-dibenzofuran-4-yloxy-2-methylpro...  (1-Piperidin-1-Yl-Cyclohexyl)-Methylamin...  4-(2,3-Dihydroxypropoxy)Benzoic Acid  [1-(Chlorocarbonyl)Cyclohexyl]Ammonium C...  Dipropyl Tartrate  8a-Hydroperoxy-2,3,4,4a,5,6,7,8-octahydr...