Online Database of Chemicals from Around the World

4-氨基-2-[(2-氨基-3-羟基丁酰基)氨基]-N-[6,9,18-三(2-氨基乙基)-3-(1-羟基乙基)-12,15-二(2-甲基丙基)-2,5,8,11,14,17,20-七氧代-1,4,7,10,13,16,19-七氧杂环二十三烷-21-基]丁酰胺
[CAS# 32530-94-2]

供应商
CAS#: 32530-94-2
产品: 4-氨基-2-[(2-氨基-3-羟基丁酰基)氨基]-N-[6,9,18-三(2-氨基乙基)-3-(1-羟基乙基)-12,15-二(2-甲基丙基)-2,5,8,11,14,17,20-七氧代-1,4,7,10,13,16,19-七氧杂环二十三烷-21-基]丁酰胺
暂时没有厂家供应该产品。
基本信息
产品名称 4-氨基-2-[(2-氨基-3-羟基丁酰基)氨基]-N-[6,9,18-三(2-氨基乙基)-3-(1-羟基乙基)-12,15-二(2-甲基丙基)-2,5,8,11,14,17,20-七氧代-1,4,7,10,13,16,19-七氧杂环二十三烷-21-基]丁酰胺
英文名 4-Amino-2-[(2-Amino-3-Hydroxybutanoyl)Amino]-N-[6,9,18-Tris(2-Aminoethyl)-3-(1-Hydroxyethyl)-12,15-Bis(2-Methylpropyl)-2,5,8,11,14,17,20-Heptaoxo-1,4,7,10,13,16,19-Heptazacyclotricos-21-Yl]Butanamide
别名 4-Amino-2-[(2-Amino-3-Hydroxy-Butanoyl)Amino]-N-[6,9,18-Tris(2-Aminoethyl)-3-(1-Hydroxyethyl)-12,15-Diisobutyl-2,5,8,11,14,17,20-Heptaoxo-1,4,7,10,13,16,19-Heptazacyclotricos-21-Yl]Butanamide; 4-Amino-2-[(2-Amino-3-Hydroxy-1-Oxobutyl)Amino]-N-[6,9,18-Tris(2-Aminoethyl)-3-(1-Hydroxyethyl)-12,15-Diisobutyl-2,5,8,11,14,17,20-Heptaoxo-1,4,7,10,13,16,19-Heptazacyclotricos-21-Yl]Butanamide; 4-Amino-2-[(2-Amino-3-Hydroxy-Butanoyl)Amino]-N-[6,9,18-Tris(2-Aminoethyl)-3-(1-Hydroxyethyl)-12,15-Diisobutyl-2,5,8,11,14,17,20-Heptaketo-1,4,7,10,13,16,19-Heptazacyclotricos-21-Yl]Butyramide
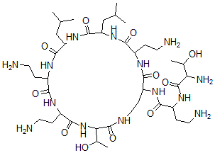
分子结构 CAS 登录号:32530-94-2, 4-氨基-2-[(2-氨基-3-羟基丁酰基)氨基]-N-[6,9,18-三(2-氨基乙基)-3-(1-羟基乙基)-12,15-二(2-甲基丙基)-2,5,8,11,14,17,20-七氧代-1,4,7,10,13,16,19-七氧杂环二十三烷-21-基]丁酰胺
分子式 C40H76N14O11
分子量 929.13
CAS 登录号 32530-94-2
分子行输入简码 SMILES C(C1NC(=O)C(NC(=O)C(NC(=O)C(NC(=O)C(N)C(O)C)CCN)CCNC(=O)C(NC(=O)C(NC(=O)C(NC(=O)C(NC1=O)CC(C)C)CCN)CCN)C(O)C)CCN)C(C)C
国际化学标识码 InChI 1S/C40H76N14O11/c1-19(2)17-28-37(62)49-23(7-12-41)32(57)48-26(10-15-44)36(61)54-31(22(6)56)40(65)46-16-11-27(50-33(58)25(9-14-43)51-39(64)30(45)21(5)55)35(60)47-24(8-13-42)34(59)52-29(18-20(3)4)38(63)53-28/h19-31,55-56H,7-18,41-45H2,1-6H3,(H,46,65)(H,47,60)(H,48,57)(H,49,62)(H,50,58)(H,51,64)(H,52,59)(H,53,63)(H,54,61)
国际化学标识检索码 InChIKey WNPBEUWOUYCJJR-UHFFFAOYSA-N
物理化学性质
密度 1.296g/cm3 (计算值)
沸点 1416.577°C at 760 mmHg (计算值)
闪点 810.516°C (计算值)
市场分析报告
请浏览4-氨基-2-[(2-氨基-3-羟基丁酰基)氨基]-N-[6,9,18-三(2-氨基乙基)-3-(1-羟基乙基)-12,15-二(2-甲基丙基)-2,5,8,11,14,17,20-七氧代-1,4,7,10,13,16,19-七氧杂环二十三烷-21-基]丁酰胺市场分析报告总目录
相关产品
N-(1,3-二甲基-2,4-二氧代嘧啶-5-基)...  甲基[2-(6-甲基庚基)-4,6-二硝基苯基]碳...  甲硫劳地铵  (4Z)-4-(4-甲基-1-环己-3-烯亚基)戊...  八氢-2,5,5-三甲基-2H-2,4a-乙桥萘并...  (1-二甲基氨基-1-膦酰乙基)膦酸  (1-氨基-1-膦酰丁基)膦酸  (甲基氨基-膦酰甲基)膦酸  (吗啉-4-基-膦酰甲基)膦酸  (4-甲基亚磺酰苯氧基)-二丙氧基-硫代膦烷  (4-硝基苯基)二丙-2-基磷酸酯  2-[(2,6-二氯-3-甲基苯基)氨基]苯甲酸甲...  5,10-二氢茚并[3,2-b]吲哚  (1-甲基吡咯烷-3-基)N-(2,6-二甲基苯基...  7-(2-二乙基氨基乙氧基)苯并吡喃-2-酮