Online Database of Chemicals from Around the World

水溶性还原蓝 6
[CAS# 2519-28-0]

供应商
CAS#: 2519-28-0
产品: 水溶性还原蓝 6
暂时没有厂家供应该产品。
基本信息
产品名称 水溶性还原蓝 6
英文名 Solubilised Vat Blue 6
别名 5,9,14,18-Anthrazinetetrol, 7,16-Dichloro-6,15-Dihydro-, Tetrakis(Hydrogen Sulfate) (Ester), Tetrasodium Salt
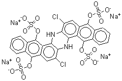
分子结构 CAS 登录号:2519-28-0, 水溶性还原蓝 6
分子式 C28H12Cl2N2Na4O16S4
分子量 923.51
CAS 登录号 2519-28-0
EINECS 登录号 219-744-4
分子行输入简码 SMILES C5=C(Cl)C1=C(NC3=C(N1)C2=C(O[S]([O-])(=O)=O)C4=C(C(=C2C=C3Cl)O[S]([O-])(=O)=O)C=CC=C4)C6=C5C(=C7C(=C6O[S]([O-])(=O)=O)C=CC=C7)O[S]([O-])(=O)=O.[Na+].[Na+].[Na+].[Na+]
国际化学标识码 InChI 1S/C28H16Cl2N2O16S4.4Na/c29-17-9-15-19(27(47-51(39,40)41)13-7-3-1-5-11(13)25(15)45-49(33,34)35)23-21(17)32-24-20-16(10-18(30)22(24)31-23)26(46-50(36,37)38)12-6-2-4-8-14(12)28(20)48-52(42,43)44;;;;/h1-10,31-32H,(H,33,34,35)(H,36,37,38)(H,39,40,41)(H,42,43,44);;;;/q;4*+1/p-4
国际化学标识检索码 InChIKey BBUUHUCPYAPBCE-UHFFFAOYSA-J
市场分析报告
请浏览水溶性还原蓝 6市场分析报告总目录
相关产品
4-[7-(4-氨基苯氧基)庚氧基]苯胺  1-异烟酰-2-乳糖基肼  (2S)-2-氨基-3-(5-溴-1H-吲哚-3-...  [2-[[4-[(2-氯-4-硝基苯基)偶氮]苯基...  4-氯苯乙肼  8-乙基-3-丙基-1,5-环壬二烯-1,2,5,...  2-甲基-4,5-二氢-1,3-噻唑-4-羧酸甲酯  3-氯-2,6-二氟苄醇  五氯苯乙酮  1,1-二烯丙基乙醇  2-[(2S,3S,4R,5R,6S)-3,4,5...  4-乙基-N-[2-羟基-1-(3,4,5-三羟基...  2-氯乙基 N-(4-溴苯基)氨基甲酸酯  5,7-二羟基-8-(1-甲基吡咯烷-2-基)-2...  去-N-异丙基异柳磷