Online Database of Chemicals from Around the World

山嵛基-辅酶 A
[CAS# 24330-89-0]

供应商
CAS#: 24330-89-0
产品: 山嵛基-辅酶 A
暂时没有厂家供应该产品。
基本信息
产品名称 山嵛基-辅酶 A
英文名 Behenyl-Coenzyme A
别名 S-[2-[3-[[(2R)-4-[[[(2R,3S,4R,5R)-5-(6-Aminopurin-9-Yl)-4-Hydroxy-3-Phosphonooxy-Tetrahydrofuran-2-Yl]Methoxy-Hydroxy-Phosphoryl]Oxy-Hydroxy-Phosphoryl]Oxy-2-Hydroxy-3,3-Dimethyl-Butanoyl]Amino]Propanoylamino]Ethyl] Docosanethioate; Docosanethioic Acid S-[2-[[3-[[(2R)-4-[[[(2R,3S,4R,5R)-5-(6-Amino-9-Purinyl)-4-Hydroxy-3-Phosphonooxy-2-Tetrahydrofuranyl]Methoxy-Hydroxyphosphoryl]Oxy-Hydroxyphosphoryl]Oxy-2-Hydroxy-3,3-Dimethyl-1-Oxobutyl]Amino]-1-Oxopropyl]Amino]Ethyl] Ester; Docosanethioic Acid S-[2-[3-[[(2R)-4-[[[(2R,3S,4R,5R)-5-(6-Aminopurin-9-Yl)-4-Hydroxy-3-Phosphonooxy-Tetrahydrofuran-2-Yl]Methoxy-Hydroxy-Phosphoryl]Oxy-Hydroxy-Phosphoryl]Oxy-2-Hydroxy-3,3-Dimethyl-Butanoyl]Amino]Propanoylamino]Ethyl] Ester
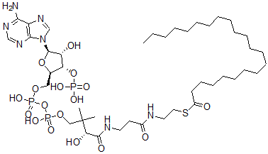
分子结构 CAS 登录号:24330-89-0, 山嵛基-辅酶 A
分子式 C43H78N7O17P3S
分子量 1090.11
CAS 登录号 24330-89-0
分子行输入简码 SMILES [C@H]1(O[C@@H]([C@@H](O[P](=O)(O)O)[C@H]1O)CO[P](O[P](OCC([C@@H](O)C(=O)NCCC(=O)NCCSC(=O)CCCCCCCCCCCCCCCCCCCCC)(C)C)(=O)O)(=O)O)[N]2C3=C(N=C2)C(=NC=N3)N
国际化学标识码 InChI 1S/C43H78N7O17P3S/c1-4-5-6-7-8-9-10-11-12-13-14-15-16-17-18-19-20-21-22-23-34(52)71-27-26-45-33(51)24-25-46-41(55)38(54)43(2,3)29-64-70(61,62)67-69(59,60)63-28-32-37(66-68(56,57)58)36(53)42(65-32)50-31-49-35-39(44)47-30-48-40(35)50/h30-32,36-38,42,53-54H,4-29H2,1-3H3,(H,45,51)(H,46,55)(H,59,60)(H,61,62)(H2,44,47,48)(H2,56,57,58)/t32-,36-,37-,38+,42-/m1/s1
国际化学标识检索码 InChIKey NDDZLVOCGALPLR-GNSUAQHMSA-N
物理化学性质
密度 1.463g/cm3 (计算值)
市场分析报告
请浏览山嵛基-辅酶 A市场分析报告总目录
相关产品
甲烷四甲腈  N,N-二甲基特戊酰胺  N,N-二乙基-3,5-二甲基-1,2-恶唑-4-...  1-氯-1,1,3,3,3-五氟丙烷-2-醇  4-庚烯-2-酮  [(22S,25S)-26-(beta-D-吡喃葡...  菲-1-醇  (1R)-1,2,3,4,4a,9,10,10aa...  6H-吲哚并[2,3-b]喹啉  [3-(N-丙基-N-乙酰氨基)-2,4,6-三碘...  [3-(N-苄基乙酰氨基)-2,4,6-三碘苯氧基...  2-[3-(N-甲基乙酰氨基)-2,4,6-三碘苯...  2-[3-(N-乙基乙酰氨基)-2,4,6-三碘苯...  2-[3-(N-乙基乙酰氨基)-2,4,6-三碘苯...  2-[3-(N-甲基乙酰氨基)-2,4,6-三碘苯...