Online Database of Chemicals from Around the World

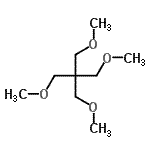
1,3-Dimethoxy-2,2-Bis(Methoxymethyl)Propane
[CAS# 2209-92-9]

Suppliers
Achemica Switzerland Inquire  
+41 (24) 466-2929
contact@achemica.com
Chemical manufacturer since 2010
Identification
Name 1,3-Dimethoxy-2,2-Bis(Methoxymethyl)Propane
Synonyms PENTAERYTHRO-TETRAMETHYL ETHER
Molecular Structure CAS#: 2209-92-9, 1,3-Dimethoxy-2,2-Bis(Methoxymethyl)Propane
Molecular Formula C9H20O4
Molecular Weight 192.25
CAS Registry Number 2209-92-9
SMILES COCC(COC)(COC)COC
InChI 1S/C9H20O4/c1-10-5-9(6-11-2,7-12-3)8-13-4/h5-8H2,1-4H3
InChIKey MBXZBSXAFUVONM-UHFFFAOYSA-N
Properties
Density 0.949g/cm3 (Cal.)
Boiling point 220.482°C at 760 mmHg (Cal.)
Flash point 71.102°C (Cal.)
Refractive index 1.415 (Cal.)
Market Analysis Reports
List of Reports Available for 1,3-Dimethoxy-2,2-Bis(Methoxymethyl)Propane
Related Products
1-(2-Amino-4-Chloro-5-Methylphenyl)-2-Ch...  1-[(1R,2S,5S,6S)-3-Azatricyclo[4.2.1.0<S...  3-Ethyl-5-Methyl-4H-Pyrazol-4-One 1,2-Di...  3-Isopropyl-5-Methyl-4H-Pyrazol-4-One 1,...  [2-Methoxy-5-(Methoxycarbonyl)Phenyl]Bor...  (3-Phenoxyphenyl)Boronic Acid  (Z)-Stilbenediboronic acid bis(pinacol) ...  9,11,20,22-Tetrahydrotetrabenzo[d,f,k,m]...  2-(Fluoromethoxy)Benzaldehyde  2-Fluorochromane  (2Z)-3-Amino-2-Phenyl-2-Butenenitrile  3',5'-Difluoro-4-Biphenylcarbaldehyde  4,4,4-Trifluoro-2-(3-Methoxyphenyl)-3-Ox...  4,4,4-Trifluoro-2-(4-Methoxyphenyl)-3-Ox...  1,1,1-Trifluoro-3-(3-Methoxyphenyl)Aceto...