基本信息
| 产品名称 |
氨基甲酰甲基-后叶催产素 |
| 英文名 |
Carbamylmethyl-Oxytocin |
| 别名 |
(2S)-1-[(4R,7S,10S,16S,19R)-19-Amino-7-(2-Amino-2-Oxo-Ethyl)-10-(3-Amino-3-Oxo-Propyl)-16-[(4-Hydroxyphenyl)Methyl]-6,9,12,15,18-Pentaoxo-13-Sec-Butyl-1,2-Dithia-5,8,11,14,17-Pentazacycloicosane-4-Carbonyl]-N-[(1S)-1-[[2-[(2-Amino-2-Oxo-Ethyl)Amino]-2-Oxo-Ethyl]Carbamoyl]-3-Methyl-Butyl]Pyrrolidine-2-Carboxamide; (2S)-1-[[(4R,7S,10S,16S,19R)-19-Amino-7-(2-Amino-2-Oxoethyl)-10-(3-Amino-3-Oxopropyl)-16-[(4-Hydroxyphenyl)Methyl]-6,9,12,15,18-Pentaoxo-13-Sec-Butyl-1,2-Dithia-5,8,11,14,17-Pentazacycloicos-4-Yl]-Oxomethyl]-N-[(1S)-1-[[[2-[(2-Amino-2-Oxoethyl)Amino]-2-Oxoethyl]Amino]-Oxomethyl]-3-Methylbutyl]-2-Pyrrolidinecarboxamide; (2S)-1-[(4R,7S,10S,16S,19R)-19-Amino-7-(2-Amino-2-Keto-Ethyl)-10-(3-Amino-3-Keto-Propyl)-16-(4-Hydroxybenzyl)-6,9,12,15,18-Pentaketo-13-Sec-Butyl-1,2-Dithia-5,8,11,14,17-Pentazacycloicosane-4-Carbonyl]-N-[(1S)-1-[[2-[(2-Amino-2-Keto-Ethyl)Amino]-2-Keto-Ethyl]Carbamoyl]-3-Methyl-Butyl]Pyrrolidine-2-Carboxamide |
|
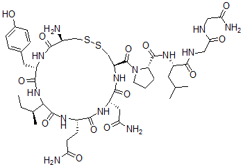
| 分子结构 |
 |
| 分子式 |
C45H69N13O13S2 |
| 分子量 |
1064.24 |
| CAS 登录号 |
21687-84-3 |
| 分子行输入简码 SMILES |
[C@@H]3(N(C(=O)[C@H]1NC(=O)[C@@H](NC(=O)[C@@H](NC(=O)C(NC(=O)[C@@H](NC(=O)[C@@H](N)CSSC1)CC2=CC=C(O)C=C2)[C@H](CC)C)CCC(=O)N)CC(=O)N)CCC3)C(=O)N[C@H](C(=O)NCC(=O)NCC(=O)N)CC(C)C |
| 国际化学标识码 InChI |
1S/C45H69N13O13S2/c1-5-23(4)37-44(70)52-27(12-13-33(47)60)40(66)54-30(17-34(48)61)41(67)56-31(21-73-72-20-26(46)38(64)53-29(42(68)57-37)16-24-8-10-25(59)11-9-24)45(71)58-14-6-7-32(58)43(69)55-28(15-22(2)3)39(65)51-19-36(63)50-18-35(49)62/h8-11,22-23,26-32,37,59H,5-7,12-21,46H2,1-4H3,(H2,47,60)(H2,48,61)(H2,49,62)(H,50,63)(H,51,65)(H,52,70)(H,53,64)(H,54,66)(H,55,69)(H,56,67)(H,57,68)/t23-,26-,27-,28-,29-,30-,31-,32-,37?/m0/s1 |
| 国际化学标识检索码 InChIKey |
SJYQCRGUNFCHAU-RAXIIFOESA-N |
|