Online Database of Chemicals from Around the World

5'-磷酰胸苷酰(3'-5')脱氧腺苷
[CAS# 2147-15-1]

供应商
CAS#: 2147-15-1
产品: 5'-磷酰胸苷酰(3'-5')脱氧腺苷
暂时没有厂家供应该产品。
基本信息
产品名称 5'-磷酰胸苷酰(3'-5')脱氧腺苷
英文名 5'-Phosphorylthymidylyl(3'-5')deoxyadenosine
别名 [(2R,3S,5R)-5-(6-Aminopurin-9-Yl)-2-(Phosphonooxymethyl)Tetrahydrofuran-3-Yl] [(2R,3S)-3-Hydroxy-5-(5-Methyl-2,4-Dioxo-Pyrimidin-1-Yl)Tetrahydrofuran-2-Yl]Methyl Hydrogen Phosphate; [(2R,3S,5R)-5-(6-Amino-9-Purinyl)-2-(Phosphonooxymethyl)-3-Tetrahydrofuranyl] [(2R,3S)-3-Hydroxy-5-(5-Methyl-2,4-Dioxo-1-Pyrimidinyl)-2-Tetrahydrofuranyl]Methyl Hydrogen Phosphate; [(2R,3S,5R)-5-(6-Aminopurin-9-Yl)-2-(Phosphonooxymethyl)Tetrahydrofuran-3-Yl] [(2R,3S)-5-(2,4-Diketo-5-Methyl-Pyrimidin-1-Yl)-3-Hydroxy-Tetrahydrofuran-2-Yl]Methyl Hydrogen Phosphate
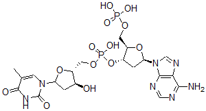
分子结构 CAS 登录号:2147-15-1, 5'-磷酰胸苷酰(3'-5')脱氧腺苷
分子式 C20H27N7O13P2
分子量 635.42
CAS 登录号 2147-15-1
分子行输入简码 SMILES N5(C1O[C@@H]([C@@H](O)C1)CO[P](O[C@@H]4[C@H](O[C@@H]([N]2C3=C(N=C2)C(=NC=N3)N)C4)CO[P](=O)(O)O)(=O)O)C(=O)NC(=O)C(=C5)C
国际化学标识码 InChI 1S/C20H27N7O13P2/c1-9-4-26(20(30)25-19(9)29)14-2-10(28)12(38-14)5-37-42(34,35)40-11-3-15(39-13(11)6-36-41(31,32)33)27-8-24-16-17(21)22-7-23-18(16)27/h4,7-8,10-15,28H,2-3,5-6H2,1H3,(H,34,35)(H2,21,22,23)(H,25,29,30)(H2,31,32,33)/t10-,11-,12+,13+,14?,15+/m0/s1
国际化学标识检索码 InChIKey YRITVODHCMDVSY-VEGPOJNRSA-N
物理化学性质
密度 2.125g/cm3 (计算值)
市场分析报告
请浏览5'-磷酰胸苷酰(3'-5')脱氧腺苷市场分析报告总目录
相关产品
5-乙基-2-硝基-1H-咪唑  N-[[(二乙氧基亚膦酰)硫代]乙酰基]-beta...  N(3)-苄基胸苷  N(3)-乙基胸苷  胸苷二磷酸酯-L-鼠李糖  2-(二甲基氨基)-1-[(二甲基氨基)甲基]乙基...  5-氧代-L-脯氨酰-L-谷氨酰胺酰-L-丙氨酸  Anthra(2,3-J)Heptaphene  N-(4,5-二氢-5-氧代-1-苯基-1H-吡唑...  3-[(Z)-1,2-二氯乙烯基]硫基丙酸  4-(氨基磺酰基)-N,N,N-三甲基-苯甲铵  (2R)-2-乙酰氨基-3-[(Z)-1,2-二氯...  1,4,5,6-四氢-1-苯基-3-环戊二烯并吡唑...  1,4,5,6-四氢-1-(4-氯苯基)-3-环戊...  2,3-二氢-1-[3-(三氟甲基)苯基]-1H-...