Identification
| Name |
Deamino-1-Carbaoxytocin |
| Synonyms |
1-[6-(2-Amino-2-Oxo-Ethyl)-9-(3-Amino-3-Oxo-Propyl)-15-[(4-Hydroxyphenyl)Methyl]-5,8,11,14,17-Pentaoxo-12-Sec-Butyl-1-Thia-4,7,10,13,16-Pentazacycloicosane-3-Carbonyl]-N-[1-[(2-Amino-2-Oxo-Ethyl)Carbamoyl]-3-Methyl-Butyl]Pyrrolidine-2-Carboxamide; N-[1-[[(2-Amino-2-Oxoethyl)Amino]-Oxomethyl]-3-Methylbutyl]-1-[[6-(2-Amino-2-Oxoethyl)-9-(3-Amino-3-Oxopropyl)-15-[(4-Hydroxyphenyl)Methyl]-5,8,11,14,17-Pentaoxo-12-Sec-Butyl-1-Thia-4,7,10,13,16-Pentazacycloicos-3-Yl]-Oxomethyl]-2-Pyrrolidinecarboxamide; 1-[6-(2-Amino-2-Keto-Ethyl)-9-(3-Amino-3-Keto-Propyl)-15-(4-Hydroxybenzyl)-5,8,11,14,17-Pentaketo-12-Sec-Butyl-1-Thia-4,7,10,13,16-Pentazacycloicosane-3-Carbonyl]-N-[1-[(2-Amino-2-Keto-Ethyl)Carbamoyl]-3-Methyl-Butyl]Pyrrolidine-2-Carboxamide |
|
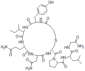
| Molecular Structure |
 |
| Molecular Formula |
C44H67N11O12S |
| Molecular Weight |
974.14 |
| CAS Registry Number |
20576-70-9 |
| SMILES |
C3=C(CC1NC(=O)CCCSCC(NC(=O)C(NC(=O)C(NC(=O)C(NC1=O)C(CC)C)CCC(=O)N)CC(=O)N)C(=O)N2C(C(=O)NC(C(=O)NCC(=O)N)CC(C)C)CCC2)C=CC(=C3)O |
| InChI |
1S/C44H67N11O12S/c1-5-24(4)37-43(66)50-27(14-15-33(45)57)39(62)51-30(20-34(46)58)40(63)53-31(22-68-17-7-9-36(60)49-29(41(64)54-37)19-25-10-12-26(56)13-11-25)44(67)55-16-6-8-32(55)42(65)52-28(18-23(2)3)38(61)48-21-35(47)59/h10-13,23-24,27-32,37,56H,5-9,14-22H2,1-4H3,(H2,45,57)(H2,46,58)(H2,47,59)(H,48,61)(H,49,60)(H,50,66)(H,51,62)(H,52,65)(H,53,63)(H,54,64) |
| InChIKey |
UBZUWPDBCILNBN-UHFFFAOYSA-N |
|