Online Database of Chemicals from Around the World

(2S)-6-(2,4-Dinitroanilino)-2-[[(2S)-1-[(2S)-2-[[(2S)-4-Hydroxy-2-[[(2S)-2-[[(2S)-2-[[(2S)-3-(4-Hydroxyphenyl)-2-[[2-(7-Methoxy-2-Oxo-Chromen-4-Yl)Acetyl]Amino]Propanoyl]Amino]-3-Methyl-Butanoyl]Amino]Propanoyl]Amino]-4-Oxo-Butanoyl]Amino]Propanoyl]Pyrrolidine-2-Carbonyl]Amino]Hexanoic Acid
[CAS# 189696-01-3]

Suppliers
Alfa Chemistry USA Inquire  
+1 (201) 478-8534
inquiry@alfa-chemistry.com
Chemical distributor since 2012
chemBlink standard supplier since 2012
Creative Peptides USA Inquire  
+1 (631) 624-4882
info@creative-peptides.com
Chemical manufacturer
chemBlink massive supplier since 2016
International Laboratory Limited USA Inquire  
+1 (650) 278-9963
admin@intlab.org
Chemical manufacturer since 2002
Identification
Name (2S)-6-(2,4-Dinitroanilino)-2-[[(2S)-1-[(2S)-2-[[(2S)-4-Hydroxy-2-[[(2S)-2-[[(2S)-2-[[(2S)-3-(4-Hydroxyphenyl)-2-[[2-(7-Methoxy-2-Oxo-Chromen-4-Yl)Acetyl]Amino]Propanoyl]Amino]-3-Methyl-Butanoyl]Amino]Propanoyl]Amino]-4-Oxo-Butanoyl]Amino]Propanoyl]Pyrrolidine-2-Carbonyl]Amino]Hexanoic Acid
Synonyms Caspase-1 Substrate (Mca)
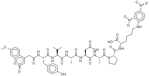
Molecular Structure CAS#: 189696-01-3, (2S)-6-(2,4-Dinitroanilino)-2-[[(2S)-1-[(2S)-2-[[(2S)-4-Hydroxy-2-[[(2S)-2-[[(2S)-2-[[(2S)-3-(4-Hydroxyphenyl)-2-[[2-(7-Methoxy-2-Oxo-Chromen-4-Yl)Acetyl]Amino]Propanoyl]Amino]-3-Methyl-Butanoyl]Amino]Propanoyl]Amino]-4-Oxo-Butanoyl]Amino]Propanoyl]Pyrrolidine-2-Carbonyl]Amino]Hexanoic Acid
Molecular Formula C53H64N10O19
Molecular Weight 1145.13
CAS Registry Number 189696-01-3
SMILES C[C@@H](C(=O)N[C@@H](CC(=O)O)C(=O)N[C@@H](C)C(=O)N1CCC[C@H]1C(=O)N[C@@H](CCCCNc2ccc(cc2[N+](=O)[O-])[N+](=O)[O-])C(=O)O)NC(=O)[C@H](C(C)C)NC(=O)[C@H](Cc3ccc(cc3)O)NC(=O)Cc4cc(=O)oc5c4ccc(c5)OC
InChI 1S/C53H64N10O19/c1-27(2)46(60-49(71)38(21-30-11-14-33(64)15-12-30)57-43(65)22-31-23-45(68)82-42-25-34(81-5)16-17-35(31)42)51(73)55-28(3)47(69)59-39(26-44(66)67)48(70)56-29(4)52(74)61-20-8-10-40(61)50(72)58-37(53(75)76)9-6-7-19-54-36-18-13-32(62(77)78)24-41(36)63(79)80/h11-18,23-25,27-29,37-40,46,54,64H,6-10,19-22,26H2,1-5H3,(H,55,73)(H,56,70)(H,57,65)(H,58,72)(H,59,69)(H,60,71)(H,66,67)(H,75,76)/t28-,29-,37-,38-,39-,40-,46-/m0/s1
InChIKey XLXKHBNLWUCNOC-XUFBPUFYSA-N
Properties
Density 1.407g/cm3 (Cal.)
Boiling point 1507.19°C at 760 mmHg (Cal.)
Flash point 865.317°C (Cal.)
Refractive index 1.616 (Cal.)
Safety Data
SDS Available
Market Analysis Reports
List of Reports Available for (2S)-6-(2,4-Dinitroanilino)-2-[[(2S)-1-[(2S)-2-[[(2S)-4-Hydroxy-2-[[(2S)-2-[[(2S)-2-[[(2S)-3-(4-Hydroxyphenyl)-2-[[2-(7-Methoxy-2-Oxo-Chromen-4-Yl)Acetyl]Amino]Propanoyl]Amino]-3-Methyl-Butanoyl]Amino]Propanoyl]Amino]-4-Oxo-Butanoyl]Amino]Propanoyl]Pyrrolidine-2-Carbonyl]Amino]Hexanoic Acid
Related Products
(2S)-6-(2,4-Dinitroanilino)-2-[[(2S)-1-[...  1-Isocyanopentane  2-Methyl-5-[(4-Phenyl-3,6-Dihydro-1(2H)-...  5-(Chloromethyl)-2-Methyl-4-Pyrimidinami...  1,3-Diaminothieno[3,4-c]Pyridin-5(3H)-Ol  2,6-Dimethoxy-4-Methyl-8-Nitro-5-[3-(Tri...  5-Chloro-2,6-Dimethoxy-4-Methyl-8-Nitroq...  4-Ethoxy-2,3-Difluoroaniline  1-(2-Aminoethyl)-5-Methyl-1,3-Dihydro-2H...  2-Fluoro-1-Methoxy-4-[(E)-2-Nitrovinyl]B...  3-[(17-{(4E)-10-[(Diaminomethylene)Amino...  3-Chloro-2-(4-Methyl-1-Piperazinyl)Anili...  6-Oxo-3-Piperidinecarboxamide  (2E,6E)-2,6-Bis(3,4-Dimethoxybenzylidene...  1-(1-Isopropyl-1H-Pyrazol-4-Yl)Ethanol