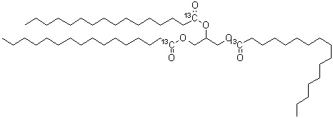
基本信息
| 产品名称 |
1,2,3-丙烷三基三(1-13C)十六烷酸酯 |
| 英文名 |
1,2,3-Propanetriyl Tri(1-13C)Hexadecanoate |
| 别名 |
1,2,3-propanetriol tris(hexadecanoate-1-13C); Glyceryl tri(hexadecanoate-1-13C); Glyceryl tri(palmitate-1-13C) |
|
| 分子结构 |
 |
| 分子式 |
C4813C3H98O6 |
| 分子量 |
810.30 |
| CAS 登录号 |
168294-57-3 |
| 分子行输入简码 SMILES |
CCCCCCCCCCCCCCCC(=O)OCC(COC(=O)CCCCCCCCCCCCCCC)OC(=O)CCCCCCCCCCCCCCC |
| 国际化学标识码 InChI |
1S/C51H98O6/c1-4-7-10-13-16-19-22-25-28-31-34-37-40-43-49(52)55-46-48(57-51(54)45-42-39-36-33-30-27-24-21-18-15-12-9-6-3)47-56-50(53)44-41-38-35-32-29-26-23-20-17-14-11-8-5-2/h48H,4-47H2,1-3H3/i49+1,50+1,51+1 |
| 国际化学标识检索码 InChIKey |
PVNIQBQSYATKKL-SRWOPVBSSA-N |
|