Online Database of Chemicals from Around the World

1,2-二{2-[2-(2-甲氧基乙氧基)乙氧基]乙氧基}-4,5-二硝基苯
[CAS# 165254-21-7]

供应商
CAS#: 165254-21-7
产品: 1,2-二{2-[2-(2-甲氧基乙氧基)乙氧基]乙氧基}-4,5-二硝基苯
暂时没有厂家供应该产品。
基本信息
产品名称 1,2-二{2-[2-(2-甲氧基乙氧基)乙氧基]乙氧基}-4,5-二硝基苯
英文名 1,2-Bis{2-[2-(2-Methoxyethoxy)Ethoxy]Ethoxy}-4,5-Dinitrobenzene
别名 BENZENE, 1,2-BIS[2-[2-(2-METHOXYETHOXY)ETHOXY]ETHOXY]-4,5-DINITRO-
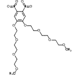
分子结构 CAS 登录号:165254-21-7, 1,2-二{2-[2-(2-甲氧基乙氧基)乙氧基]乙氧基}-4,5-二硝基苯
分子式 C20H32N2O12
分子量 492.47
CAS 登录号 165254-21-7
分子行输入简码 SMILES O=N(=O)c1cc(OCCOCCOCCOC)c(cc1N(=O)=O)OCCOCCOCCOC
国际化学标识码 InChI 1S/C20H32N2O12/c1-27-3-5-29-7-9-31-11-13-33-19-15-17(21(23)24)18(22(25)26)16-20(19)34-14-12-32-10-8-30-6-4-28-2/h15-16H,3-14H2,1-2H3
国际化学标识检索码 InChIKey RLKFEUVQBGLTFI-UHFFFAOYSA-N
物理化学性质
密度 1.239g/cm3 (计算值)
沸点 589.7°C at 760 mmHg (计算值)
闪点 210.074°C (计算值)
折射率 1.51 (计算值)
市场分析报告
请浏览1,2-二{2-[2-(2-甲氧基乙氧基)乙氧基]乙氧基}-4,5-二硝基苯市场分析报告总目录
相关产品
4,6-二氟-N-甲基-2-嘧啶胺  2,6-二氟-N-甲基-4-嘧啶胺  N-乙基-4,6-二氟-2-嘧啶胺  N-乙基-2,6-二氟-4-嘧啶胺  N-乙基-2,6-二氟-5-甲基-4-嘧啶胺  4,6-二氟-N,N-二甲基-2-嘧啶胺  6-氟-N<sup>4</sup>-甲基-2,4-...  6-氟-N<sup>2</sup>-甲基-2,4-...  N<sup>4</sup>-乙基-6-氟-2,4-...  N<sup>2</sup>-乙基-6-氟-2,4-...  6-氟-N<sup>2</sup>,N<sup>2...  乙基(4R)-4-甲基-D-脯氨酸酯  N'-亚氨代甲酰基苯甲酰肼  吡啶1-氧化物盐酸盐(1:1)  3,7,9-三羟基雄甾-5-烯-17-酮