Online Database of Chemicals from Around the World

鸡防御素2
[CAS# 156409-45-9]

供应商
CAS#: 156409-45-9
产品: 鸡防御素2
暂时没有厂家供应该产品。
基本信息
产品名称 鸡防御素2
英文名 Gallinacin 2
别名 Gallinacin 2; Thp2 Peptide
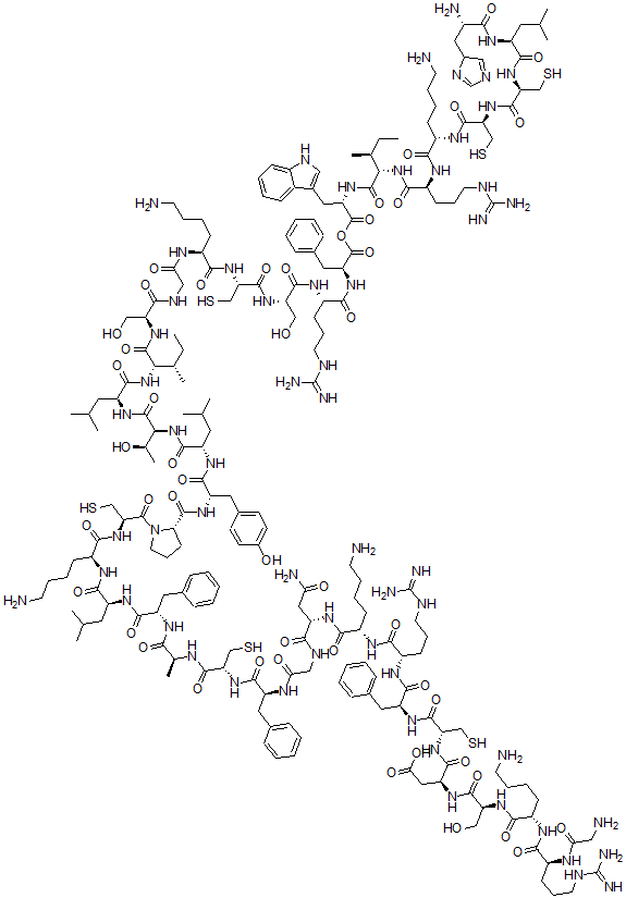
分子结构 CAS 登录号:156409-45-9, 鸡防御素2
分子式 C205H322N60O48S6
分子量 4587.53
CAS 登录号 156409-45-9
分子行输入简码 SMILES [C@H](C(=O)OC([C@@H](NC([C@@H](NC([C@@H](NC([C@@H](NC([C@@H](NC(CNC([C@@H](NC([C@@H](NC([C@@H](NC([C@@H](NC([C@@H](NC([C@@H](NC([C@H]1N(CCC1)C([C@@H](NC([C@@H](NC([C@@H](NC([C@@H](NC([C@@H](NC([C@@H](NC([C@@H](NC(CNC([C@@H](NC([C@@H](NC([C@@H](NC([C@@H](NC([C@@H](NC([C@@H](NC([C@@H](NC([C@@H](NC([C@@H](NC(CN)=O)CCCNC(=N)N)=O)CCCCN)=O)CO)=O)CC(=O)O)=O)CS)=O)CC2=CC=CC=C2)=O)CCCNC(=N)N)=O)CCCCN)=O)CC(=O)N)=O)=O)CC3=CC=CC=C3)=O)CS)=O)C)=O)CC4=CC=CC=C4)=O)CC(C)C)=O)CCCCN)=O)CS)=O)=O)CC5=CC=C(O)C=C5)=O)CC(C)C)=O)[C@@H](C)O)=O)CC(C)C)=O)[C@H](CC)C)=O)CO)=O)=O)CCCCN)=O)CS)=O)CO)=O)CCCNC(=N)N)=O)CC6=CC=CC=C6)=O)(NC([C@@H](NC([C@@H](NC([C@@H](NC([C@@H](NC([C@@H](NC([C@@H](NC([C@@H](N)CC7C=NC=N7)=O)CC(C)C)=O)CS)=O)CS)=O)CCCCN)=O)CCCNC(=N)N)=O)[C@H](CC)C)=O)CC8=C[NH]C9=CC=CC=C89
国际化学标识码 InChI 1S/C205H322N60O48S6/c1-15-112(11)163(262-178(289)135(64-44-78-226-205(220)221)237-172(283)129(57-32-37-71-207)241-191(302)152(102-315)260-194(305)155(105-318)258-180(291)136(80-108(3)4)243-167(278)125(212)90-122-95-222-107-230-122)196(307)252-147(89-121-94-227-126-55-30-29-54-124(121)126)201(312)313-200(311)146(88-119-52-27-20-28-53-119)251-175(286)134(63-43-77-225-204(218)219)240-188(299)149(99-267)254-193(304)154(104-317)256-171(282)127(56-31-36-70-206)233-160(273)96-229-169(280)148(98-266)255-197(308)164(113(12)16-2)263-186(297)139(83-111(9)10)250-198(309)165(115(14)269)264-187(298)138(82-110(7)8)245-184(295)143(87-120-66-68-123(270)69-67-120)249-195(306)157-65-45-79-265(157)199(310)156(106-319)261-177(288)132(60-35-40-74-210)238-179(290)137(81-109(5)6)244-183(294)141(85-117-48-23-18-24-49-117)242-166(277)114(13)231-190(301)151(101-314)257-181(292)140(84-116-46-21-17-22-47-116)234-161(274)97-228-168(279)144(91-158(213)271)247-174(285)130(58-33-38-72-208)236-173(284)133(62-42-76-224-203(216)217)239-182(293)142(86-118-50-25-19-26-51-118)246-192(303)153(103-316)259-185(296)145(92-162(275)276)248-189(300)150(100-268)253-176(287)131(59-34-39-73-209)235-170(281)128(232-159(272)93-211)61-41-75-223-202(214)215/h17-30,46-55,66-69,94-95,107-115,122,125,127-157,163-165,227,266-270,314-319H,15-16,31-45,56-65,70-93,96-106,206-212H2,1-14H3,(H2,213,271)(H,228,279)(H,229,280)(H,231,301)(H,232,272)(H,233,273)(H,234,274)(H,235,281)(H,236,284)(H,237,283)(H,238,290)(H,239,293)(H,240,299)(H,241,302)(H,242,277)(H,243,278)(H,244,294)(H,245,295)(H,246,303)(H,247,285)(H,248,300)(H,249,306)(H,250,309)(H,251,286)(H,252,307)(H,253,287)(H,254,304)(H,255,308)(H,256,282)(H,257,292)(H,258,291)(H,259,296)(H,260,305)(H,261,288)(H,262,289)(H,263,297)(H,264,298)(H,275,276)(H4,214,215,223)(H4,216,217,224)(H4,218,219,225)(H4,220,221,226)/t112-,113-,114-,115+,122?,125-,127-,128-,129-,130-,131-,132-,133-,134-,135-,136-,137-,138-,139-,140-,141-,142-,143-,144-,145-,146-,147-,148-,149-,150-,151-,152-,153-,154-,155-,156-,157-,163-,164-,165-/m0/s1
国际化学标识检索码 InChIKey SGVJXVIMIBPWHX-XALWAODASA-N
市场分析报告
请浏览鸡防御素2市场分析报告总目录
相关产品
鸡防御素1alpha  (1R,2S,3R,4S)-3-乙酰氧基-11-偶...  5-乙烯基-4-(2,3,4,9-四氢-1H-吡啶...  Zizyphoiside E  6-乙氧基-2-甲基-4-喹啉醇  苯基(9-蒽基)甲酮  三甲基-1,6-己二异氰酸酯  4-苯基吡咯烷-3-羧酸甲酯  1-氨基-2-溴-4-O-甲苯氨基蒽醌  2-乙基己基二苯基亚磷酸酯  3-氨基甲基-3,5,5-三甲基环己烷-1-醇  1-氨基-2-溴-4-(苯基氨基)蒽醌  5-(苯甲酰基氨基)戊酸  苯甲酰基紫杉醇  3-[羟基-[[[2-(4-碘苯基)乙酰基]氨基]...