Online Database of Chemicals from Around the World

2-亮氨酰-新皮啡肽
[CAS# 154722-68-6]

供应商
CAS#: 154722-68-6
产品: 2-亮氨酰-新皮啡肽
暂时没有厂家供应该产品。
基本信息
产品名称 2-亮氨酰-新皮啡肽
英文名 2-Leu-Deltorphin
别名 Deltorphin, D-Leucyl(2)-; Deltorphin, Leu(2)-
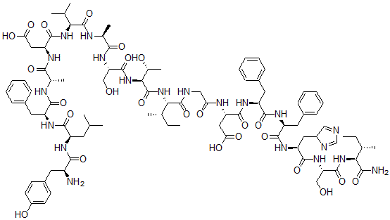
分子结构 CAS 登录号:154722-68-6, 2-亮氨酰-新皮啡肽
分子式 C91H128N20O25
分子量 1902.13
CAS 登录号 154722-68-6
分子行输入简码 SMILES [C@H](C(=O)N)(NC([C@@H](NC([C@@H](NC([C@@H](NC([C@@H](NC([C@@H](NC(CNC([C@@H](NC([C@@H](NC([C@@H](NC([C@@H](NC([C@@H](NC([C@@H](NC([C@@H](NC([C@@H](NC([C@H](NC([C@@H](N)CC1=CC=C(O)C=C1)=O)CC(C)C)=O)CC2=CC=CC=C2)=O)C)=O)CC(=O)O)=O)C(C)C)=O)C)=O)CO)=O)[C@@H](C)O)=O)[C@H](CC)C)=O)=O)CC(=O)O)=O)CC3=CC=CC=C3)=O)CC4=CC=CC=C4)=O)CC5C=NC=N5)=O)CO)=O)[C@H](CC)C
国际化学标识码 InChI 1S/C91H128N20O25/c1-12-48(7)73(76(93)121)109-87(132)68(44-113)107-84(129)64(38-57-41-94-45-96-57)105-83(128)63(37-55-27-21-16-22-28-55)103-82(127)62(36-54-25-19-15-20-26-54)104-85(130)65(39-70(117)118)99-69(116)42-95-89(134)74(49(8)13-2)110-91(136)75(52(11)114)111-88(133)67(43-112)106-78(123)51(10)98-90(135)72(47(5)6)108-86(131)66(40-71(119)120)100-77(122)50(9)97-80(125)61(35-53-23-17-14-18-24-53)102-81(126)60(33-46(3)4)101-79(124)59(92)34-56-29-31-58(115)32-30-56/h14-32,41,45-52,57,59-68,72-75,112-115H,12-13,33-40,42-44,92H2,1-11H3,(H2,93,121)(H,95,134)(H,97,125)(H,98,135)(H,99,116)(H,100,122)(H,101,124)(H,102,126)(H,103,127)(H,104,130)(H,105,128)(H,106,123)(H,107,129)(H,108,131)(H,109,132)(H,110,136)(H,111,133)(H,117,118)(H,119,120)/t48-,49-,50-,51-,52+,57?,59-,60+,61-,62-,63-,64-,65-,66-,67-,68-,72-,73-,74-,75-/m0/s1
国际化学标识检索码 InChIKey FDLBMNIMNPXYLL-ZPHIGNHYSA-N
市场分析报告
请浏览2-亮氨酰-新皮啡肽市场分析报告总目录
相关产品
(2,4-二甲氧基苯基)-[4-(苯基甲氧基)苯基...  4-硝基丁酰胺  (1S,2R,3S,4S,5R,8R,9R,11S...  氯乙酰基-甘氨酰-甘氨酸  3,4-二羟基-5-(6-氧代-3H-嘌呤-9-基...  甲氨蝶呤钠盐  4-((1,1'-联苯)-4-基偶氮)-N,N-二...  3-[(4-氨基苯基)偶氮]-4,5-二羟基萘-2...  二乙基[4-[[4-(二甲基氨基)苯基]苯基亚甲基...  4-硝基氧基丁基2-[2-[(2,6-二氯苯基)氨...  2-丙基-6-甲氧基-2,5-环己二烯-1,4-二...  铝氯酸盐  水杨酸铝盐  (3aS,6aR)-6alpha-己基-3-亚甲基...  5,7-二氢苯并[d][2]苯并氧杂卓-1,2,3...