Online Database of Chemicals from Around the World

2-[(2S)-2-Butanyl]-4-{4-[4-(4-Methoxyphenyl)-1-Piperazinyl]Phenyl}-2,4-Dihydro-3H-1,2,4-Triazol-3-One
[CAS# 153896-47-0]

Identification
Name 2-[(2S)-2-Butanyl]-4-{4-[4-(4-Methoxyphenyl)-1-Piperazinyl]Phenyl}-2,4-Dihydro-3H-1,2,4-Triazol-3-One
Synonyms 3H-1,2,4-Triazol-3-one, 2,4-dihydro-4-[4-[4-(4-methoxyphenyl)-1-piperazinyl]phenyl]-2-(1-methylpropyl)-, (S)-; TL8001155
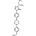
Molecular Structure CAS#: 153896-47-0, 2-[(2S)-2-Butanyl]-4-{4-[4-(4-Methoxyphenyl)-1-Piperazinyl]Phenyl}-2,4-Dihydro-3H-1,2,4-Triazol-3-One
Molecular Formula C23H29N5O2
Molecular Weight 407.51
CAS Registry Number 153896-47-0
SMILES O=C1N(/N=C\N1c4ccc(N3CCN(c2ccc(OC)cc2)CC3)cc4)[C@@H](C)CC
InChI 1S/C23H29N5O2/c1-4-18(2)28-23(29)27(17-24-28)21-7-5-19(6-8-21)25-13-15-26(16-14-25)20-9-11-22(30-3)12-10-20/h5-12,17-18H,4,13-16H2,1-3H3/t18-/m0/s1
InChIKey IVIVGYTUQVJVPF-SFHVURJKSA-N
Properties
Density 1.207g/cm3 (Cal.)
Boiling point 572.422°C at 760 mmHg (Cal.)
Flash point 299.991°C (Cal.)
Refractive index 1.622 (Cal.)
Market Analysis Reports
List of Reports Available for 2-[(2S)-2-Butanyl]-4-{4-[4-(4-Methoxyphenyl)-1-Piperazinyl]Phenyl}-2,4-Dihydro-3H-1,2,4-Triazol-3-One
Related Products
2,3-Dimethoxybenzoic Acid  3-Isopropyl-6-Methyl-2H-Pyran-2-One  Disodium 3,3'-[(2,5-Dibromo-1,4-Phenylen...  {2,2'-[(Methylimino)Bis(3,1-Propanediyln...  5-(Chloromethyl)-1H-Benzotriazole  Ethyl 3-Methyl-4-Phenyl-1,2-Oxazole-5-Ca...  N-(5-Iminobenzo[J]Phenoxazin-9-Yl)Acetam...  4-Methyl-3,5-Dinitroaniline  (1R)-2-Hydroxybicyclo[2.2.1]Hept-5-Ene-2...  (1R)-2-Hydroxybicyclo[2.2.1]Hept-5-Ene-2...  Ethyl 3-Cyano-2-Oxo-1-Pyrrolidinecarboxy...  4-Propionylbenzoyl Chloride  3-Amino-1-(Carboxymethyl)-2-Oxo-3-Pyrrol...  2-(Propadienyloxy)Benzaldehyde  N-[(3-Methyl-2-Pyridinyl)Methyl]Formamid...