Online Database of Chemicals from Around the World

(1R,4E,6S,7R,8S,10R,11S,12S,14R,15R,16R,18Z,20Z,22S,29S)-22-乙基-7,11,14,15-四羟基-6'-(2-羟基丁基)-5',6,8,10,12,14,16,28,29-九甲基螺[2,26-二氧杂双环[23.3.1]二十九碳-4,18,20-三烯-27,2'-四氢吡喃]-3,9,13-三酮
[CAS# 152726-68-6]

供应商
CAS#: 152726-68-6
产品: (1R,4E,6S,7R,8S,10R,11S,12S,14R,15R,16R,18Z,20Z,22S,29S)-22-乙基-7,11,14,15-四羟基-6'-(2-羟基丁基)-5',6,8,10,12,14,16,28,29-九甲基螺[2,26-二氧杂双环[23.3.1]二十九碳-4,18,20-三烯-27,2'-四氢吡喃]-3,9,13-三酮
暂时没有厂家供应该产品。
基本信息
产品名称 (1R,4E,6S,7R,8S,10R,11S,12S,14R,15R,16R,18Z,20Z,22S,29S)-22-乙基-7,11,14,15-四羟基-6'-(2-羟基丁基)-5',6,8,10,12,14,16,28,29-九甲基螺[2,26-二氧杂双环[23.3.1]二十九碳-4,18,20-三烯-27,2'-四氢吡喃]-3,9,13-三酮
英文名 (1R,4E,6S,7R,8S,10R,11S,12S,14R,15R,16R,18Z,20Z,22S,29S)-22-Ethyl-7,11,14,15-Tetrahydroxy-6'-(2-Hydroxybutyl)-5',6,8,10,12,14,16,28,29-Nonamethylspiro[2,26-Dioxabicyclo[23.3.1]Nonacosa-4,18,20-Triene-27,2'-Oxane]-3,9,13-Trione
别名 (1R,4E,6S,7R,8S,10R,11S,12S,14R,15R,16R,18Z,20Z,22S,29S)-22-Ethyl-7,11,14,15-Tetrahydroxy-6'-(2-Hydroxybutyl)-5',6,8,10,12,14,16,28,29-Nonamethyl-Spiro[2,26-Dioxabicyclo[23.3.1]Nonacosa-4,18,20-Triene-27,2'-Tetrahydropyran]-3,9,13-Trione; (1R,4E,6S,7R,8S,10R,11S,12S,14R,15R,16R,18Z,20Z,22S,29S)-22-Ethyl-7,11,14,15-Tetrahydroxy-6'-(2-Hydroxybutyl)-5',6,8,10,12,14,16,28,29-Nonamethylspiro[2,26-Dioxabicyclo[23.3.1]Nonacosa-4,18,20-Triene-27,2'-Tetrahydropyran]-3,9,13-Trione; (1R,4E,6S,7R,8S,10R,11S,12S,14R,15R,16R,18Z,20Z,22S,29S)-22-Ethyl-7,11,14,15-Tetrahydroxy-6'-(2-Hydroxybutyl)-5',6,8,10,12,14,16,28,29-Nonamethyl-Spiro[2,26-Dioxabicyclo[23.3.1]Nonacosa-4,18,20-Triene-27,2'-Oxane]-3,9,13-Trione
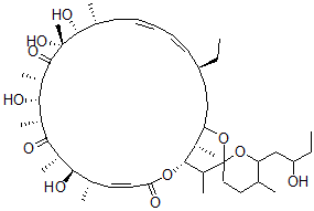
分子结构 CAS 登录号:152726-68-6, (1R,4E,6S,7R,8S,10R,11S,12S,14R,15R,16R,18Z,20Z,22S,29S)-22-乙基-7,11,14,15-四羟基-6'-(2-羟基丁基)-5',6,8,10,12,14,16,28,29-九甲基螺[2,26-二氧杂双环[23.3.1]二十九碳-4,18,20-三烯-27,2'-四氢吡喃]-3,9,13-三酮
分子式 C46H76O11
分子量 805.10
CAS 登录号 152726-68-6
分子行输入简码 SMILES [C@H]23OC(=O)\C=C\[C@@H]([C@@H](O)[C@@H](C(=O)[C@@H]([C@H](O)[C@@H](C(=O)[C@](O)([C@H](O)[C@@H](C/C=C\C=C/[C@H](CCC(OC1(OC(C(CC1)C)CC(O)CC)C2C)[C@@H]3C)CC)C)C)C)C)C)C
国际化学标识码 InChI 1S/C46H76O11/c1-12-34-18-16-14-15-17-28(5)43(52)45(11,54)44(53)32(9)41(51)31(8)40(50)30(7)39(49)27(4)19-22-38(48)55-42-29(6)36(21-20-34)56-46(33(42)10)24-23-26(3)37(57-46)25-35(47)13-2/h14-16,18-19,22,26-37,39,41-43,47,49,51-52,54H,12-13,17,20-21,23-25H2,1-11H3/b15-14-,18-16-,22-19+/t26?,27-,28+,29-,30-,31-,32-,33?,34+,35?,36?,37?,39+,41-,42+,43+,45+,46?/m0/s1
国际化学标识检索码 InChIKey BBXPKWAURBGKEO-NHQACHMQSA-N
市场分析报告
请浏览(1R,4E,6S,7R,8S,10R,11S,12S,14R,15R,16R,18Z,20Z,22S,29S)-22-乙基-7,11,14,15-四羟基-6'-(2-羟基丁基)-5',6,8,10,12,14,16,28,29-九甲基螺[2,26-二氧杂双环[23.3.1]二十九碳-4,18,20-三烯-27,2'-四氢吡喃]-3,9,13-三酮市场分析报告总目录
相关产品
3,4-二甲氧基-alpha-苯基-4'-(2-(...  3,4-二氯-alpha-苯基-4'-[2-(1-...  Amythiamycin A  铁(III)-乙二胺四乙酸  草酸铬钾盐  2,2,3,3,4,4,4-七氟丁基2-甲基丙-2...  3-羟基-1-(4-甲基-9H-吡啶并[3,4-b...  2-羟基-1-(4-甲基-9H-吡啶并[3,4-b...  (2S)-2,3-二羟基-1-(4-甲基-9H-吡...  1-(4-甲基-9H-吡啶并[3,4-b]吲哚-1...  3-羟基-1-(4-甲基-9H-吡啶并[3,4-b...  铬三乙二胺  1-[(1R,2S,3S,5S)-8-甲基-3-(...  去-N-乙酰基溶菌酶GM1  N,N-二甲基-4-苯基-1,2,3,4-四氢萘-...