Online Database of Chemicals from Around the World

月光花素alpha-2B
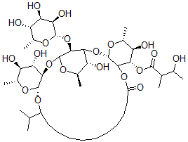
[CAS# 151864-97-0]

供应商
CAS#: 151864-97-0
产品: 月光花素alpha-2B
暂时没有厂家供应该产品。
基本信息
产品名称 月光花素alpha-2B
英文名 Calonyctin alpha-2B
别名 Dc-2B; Tetradecanoic Acid, 11-((O-6-Deoxy-3-O-(3-Hydroxy-2-Methyl-1-Oxobutyl)-Beta-D-Glucopyranosyl-(1-3)-O-(6-Deoxy-Alpha-L-Mannopyranosyl-(1-2))-O-6-Deoxy-Beta-D-Glucopyranosyl-(1-2)-6-Deoxy-Beta-D-Glucopyranosyl)Oxy)-, Intramol 1,2'''-Ester
分子结构 CAS 登录号:151864-97-0, 月光花素alpha-2B
分子式 C43H74O20
分子量 911.05
CAS 登录号 151864-97-0
分子行输入简码 SMILES [C@H]23OC4O[C@@H]([C@@H](O)C(O[C@@H]1O[C@@H]([C@@H](O)[C@H](OC(=O)C(C(O)C)C)C1OC(=O)CCCCCCCCCC(O[C@@H]2O[C@@H]([C@@H](O)[C@@H]3O)C)C(C)C)C)[C@@H]4O[C@@H]5O[C@@H]([C@H](O)[C@@H](O)[C@H]5O)C)C
国际化学标识码 InChI 1S/C43H74O20/c1-18(2)25-16-14-12-10-9-11-13-15-17-26(45)59-37-34(60-39(53)19(3)20(4)44)29(48)23(7)56-42(37)61-35-30(49)24(8)57-43(62-36-32(51)28(47)22(6)55-41(36)58-25)38(35)63-40-33(52)31(50)27(46)21(5)54-40/h18-25,27-38,40-44,46-52H,9-17H2,1-8H3/t19?,20?,21-,22-,23-,24-,25?,27+,28-,29-,30-,31-,32+,33-,34+,35?,36-,37?,38+,40+,41+,42+,43?/m1/s1
国际化学标识检索码 InChIKey YMZMABJWBKTPSA-PGQLVXIPSA-N
物理化学性质
密度 1.343g/cm3 (计算值)
沸点 976.81°C at 760 mmHg (计算值)
闪点 279.43°C (计算值)
市场分析报告
请浏览月光花素alpha-2B市场分析报告总目录
相关产品
2-(3-甲基-2-丁烯基)-3-甲基呋喃  (4R,5S,6S,7R)-5,6-二羟基-1,3...  2-硝基-5-[(4Z,8Z,12Z,16Z)-5...  [(2R,3S,4R,5R)-5-(6-氨基嘌呤-...  1,3,3-三氯丁烷  2-(羟基甲基)-2-苯基茚-1,3-二酮  4-环戊基苯酚  羟基安非他命  [2-[2-(3',6'-二羟基-1-氧代螺[2-...  3',6'-二羟基-1-氧代-N'-(2-巯基乙酰...  7-(3-氨基-2-氧代氮杂环庚-1-基)-1-环...  [(2S,5R)-5-[6,8-二氨基-1-[(2...  6-氯-N-[[(1S,8S)-2,3,5,6,7...  7-羟基-1,4,6,7-四氢咪唑并[1,2-a]...  (2R,3S,5R)-5-[2-氟-6-(2-三甲...