Online Database of Chemicals from Around the World

11-((O-6-Deoxy-3-O-(3-Hydroxy-2-Methyl-1-Oxobutyl)-beta-D-Glucopyranosyl-(1-3)-O-(6-Deoxy-alpha-L-Mannopyranosyl-(1-2))-O-6-Deoxy-beta-D-Glucopyranosyl-(1-2)-6-Deoxy-beta-D-Glucopyranosyl)Oxy)-Hexadecanoic Acid Intramol 1,2'''-Ester
[CAS# 151864-96-9]

Suppliers
CAS#: 151864-96-9
Product: 11-((O-6-Deoxy-3-O-(3-Hydroxy-2-Methyl-1-Oxobutyl)-beta-D-Glucopyranosyl-(1-3)-O-(6-Deoxy-alpha-L-Mannopyranosyl-(1-2))-O-6-Deoxy-beta-D-Glucopyranosyl-(1-2)-6-Deoxy-beta-D-Glucopyranosyl)Oxy)-Hexadecanoic Acid Intramol 1,2'''-Ester
No suppilers available for the product.
Identification
Name 11-((O-6-Deoxy-3-O-(3-Hydroxy-2-Methyl-1-Oxobutyl)-beta-D-Glucopyranosyl-(1-3)-O-(6-Deoxy-alpha-L-Mannopyranosyl-(1-2))-O-6-Deoxy-beta-D-Glucopyranosyl-(1-2)-6-Deoxy-beta-D-Glucopyranosyl)Oxy)-Hexadecanoic Acid Intramol 1,2'''-Ester
Synonyms Calonyctin A-2D; Dc-2D
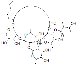
Molecular Structure CAS#: 151864-96-9, 11-((O-6-Deoxy-3-O-(3-Hydroxy-2-Methyl-1-Oxobutyl)-beta-D-Glucopyranosyl-(1-3)-O-(6-Deoxy-alpha-L-Mannopyranosyl-(1-2))-O-6-Deoxy-beta-D-Glucopyranosyl-(1-2)-6-Deoxy-beta-D-Glucopyranosyl)Oxy)-Hexadecanoic Acid Intramol 1,2'''-Ester
Molecular Formula C45H78O20
Molecular Weight 939.10
CAS Registry Number 151864-96-9
SMILES C(C2OC5C(OC3C(C(OC1C(C(OC(C(C(O)C)C)=O)C(C(O1)C)O)OC(=O)CCCCCCCCC2)C(C(O3)C)O)OC4C(C(O)C(C(O4)C)O)O)C(C(C(C)O5)O)O)CCCC
InChI 1S/C45H78O20/c1-8-9-15-18-27-19-16-13-11-10-12-14-17-20-28(47)61-39-36(62-41(55)21(2)22(3)46)31(50)25(6)58-44(39)63-37-32(51)26(7)59-45(64-38-34(53)30(49)24(5)57-43(38)60-27)40(37)65-42-35(54)33(52)29(48)23(4)56-42/h21-27,29-40,42-46,48-54H,8-20H2,1-7H3
InChIKey DRAKJGOJAYUMIJ-UHFFFAOYSA-N
Properties
Density 1.323g/cm3 (Cal.)
Boiling point 991.898°C at 760 mmHg (Cal.)
Flash point 280.431°C (Cal.)
Market Analysis Reports
List of Reports Available for 11-((O-6-Deoxy-3-O-(3-Hydroxy-2-Methyl-1-Oxobutyl)-beta-D-Glucopyranosyl-(1-3)-O-(6-Deoxy-alpha-L-Mannopyranosyl-(1-2))-O-6-Deoxy-beta-D-Glucopyranosyl-(1-2)-6-Deoxy-beta-D-Glucopyranosyl)Oxy)-Hexadecanoic Acid Intramol 1,2'''-Ester
Related Products
Calonyctin alpha-2B  2-(3-Methyl-2-Butenyl)-3-Methylfuran  (4R,5S,6S,7R)-5,6-Dihydroxy-1,3-Bis[[4-(...  2-Nitro-5-[(4Z,8Z,12Z,16Z)-5,9,13,17,21-...  [(2R,3S,4R,5R)-5-(6-Aminopurin-9-Yl)-3,4...  1,3,3-Trichlorobutane  2-(Hydroxymethyl)-2-Phenylindene-1,3-Dio...  4-Cyclopentylphenol  Hydroxyamphetamine  [2-[2-(3',6'-Dihydroxy-1-Oxospiro[2-Benz...  3',6'-Dihydroxy-1-Oxo-N'-(2-Sulfanylacet...  7-(3-Amino-2-Oxoazepan-1-Yl)-1-Cycloprop...  [(2S,5R)-5-[6,8-Diamino-1-[(2R,5R)-3,4-D...  6-Chloro-N-[[(1S,8S)-2,3,5,6,7,8-Hexahyd...  7-Hydroxy-1,4,6,7-Tetrahydroimidazo[1,2-...