Online Database of Chemicals from Around the World

N-乙酰基壳八糖
[CAS# 150921-27-0]

供应商
CAS#: 150921-27-0
产品: N-乙酰基壳八糖
暂时没有厂家供应该产品。
基本信息
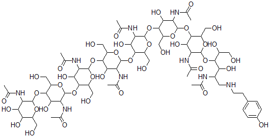
产品名称 N-乙酰基壳八糖
英文名 N-Acetylchitooctaose
别名 N-[2-[5-Acetamido-6-[5-Acetamido-6-[5-Acetamido-6-[5-Acetamido-1,2,4-Trihydroxy-6-[2-(4-Hydroxyphenyl)Ethylamino]Hexan-3-Yl]Oxy-4-Hydroxy-2-(Hydroxymethyl)Oxan-3-Yl]Oxy-4-Hydroxy-2-(Hydroxymethyl)Oxan-3-Yl]Oxy-4-Hydroxy-2-(Hydroxymethyl)Oxan-3-Yl]Oxy-5-[3-Acetamido-5-[3-Acetamido-5-[3-Acetamido-4,5-Dihydroxy-6-(Hydroxymethyl)Oxan-2-Yl]Oxy-4-Hydroxy-6-(Hydroxymethyl)Oxan-2-Yl]Oxy-4-Hydroxy-6-(Hydroxymethyl)Oxan-2-Yl]Oxy-4-Hydroxy-6-(Hydroxymethyl)Oxan-3-Yl]Ethanamide; (Glcnac)8; N-Acetylchitooctaose
分子结构 CAS 登录号:150921-27-0, N-乙酰基壳八糖
分子式 C72H117N9O41
分子量 1764.75
CAS 登录号 150921-27-0
分子行输入简码 SMILES C8=C(CCNCC(NC(=O)C)C(O)C(OC7OC(C(OC6OC(C(OC5OC(C(OC4OC(C(OC3OC(C(OC2OC(C(OC1OC(C(O)C(O)C1NC(=O)C)CO)C(O)C2NC(=O)C)CO)C(O)C3NC(=O)C)CO)C(O)C4NC(=O)C)CO)C(O)C5NC(=O)C)CO)C(O)C6NC(=O)C)CO)C(O)C7NC(=O)C)CO)C(O)CO)C=CC(=C8)O
国际化学标识码 InChI 1S/C72H117N9O41/c1-24(90)74-34(15-73-14-13-32-9-11-33(98)12-10-32)50(100)59(35(99)16-82)116-67-44(76-26(3)92)53(103)61(37(18-84)110-67)118-69-46(78-28(5)94)55(105)63(39(20-86)112-69)120-71-48(80-30(7)96)57(107)65(41(22-88)114-71)122-72-49(81-31(8)97)58(108)64(42(23-89)115-72)121-70-47(79-29(6)95)56(106)62(40(21-87)113-70)119-68-45(77-27(4)93)54(104)60(38(19-85)111-68)117-66-43(75-25(2)91)52(102)51(101)36(17-83)109-66/h9-12,34-73,82-89,98-108H,13-23H2,1-8H3,(H,74,90)(H,75,91)(H,76,92)(H,77,93)(H,78,94)(H,79,95)(H,80,96)(H,81,97)
国际化学标识检索码 InChIKey OVXKCXRAHKVFNJ-UHFFFAOYSA-N
物理化学性质
密度 1.594g/cm3 (计算值)
沸点 1941.933°C at 760 mmHg (计算值)
闪点 1128.24°C (计算值)
市场分析报告
请浏览N-乙酰基壳八糖市场分析报告总目录
相关产品
1-苯基-3-(1-甲基丙基)硫脲  1-新戊基-3-苯基硫脲  N-苯基-N'-(1-苯基乙基)硫脲  1-(beta-苯乙基)-3-苯基-2-硫脲  N-苯基-N'-(3-苯基丙基)硫脲  N,N-二(2-甲基丙基)-N'-苯基硫脲  N,N-二环己基-N'-苯基硫脲  N-乙基-N,N'-二苯基硫脲  1,1-二苄基-3-苯基异硫脲  1-乙基-3-(4-甲基苯基)吡咯-2,5-二酮  丝氨酰-亮氨酰-丝氨酰-精氨酰-酪氨酰-丙氨酰-赖...  2-丙-2-基-4-丙-2-亚基环己-2-烯-1-...  3-(碘-125I)-N-(碘乙酰基)-L-酪氨酸  6-甲基-1H-苯并咪唑-5-醇  (4S)-4-氨基-5-[[(2R)-1-(羧甲基...