Online Database of Chemicals from Around the World

生物素-36-脱氧三磷酸尿苷
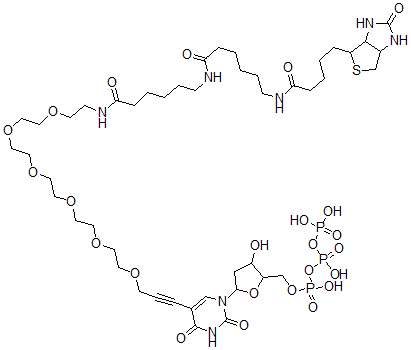
[CAS# 145396-04-9]

供应商
Achemica 瑞士 询价快递  
+41 (24) 466-2929
contact@achemica.com
化学品生产商(2010 年起)
基本信息
产品名称 生物素-36-脱氧三磷酸尿苷
英文名 Biotin-36-dutp
别名 [5-[2,4-Dioxo-5-[3-[2-[2-[2-[2-[2-[2-[6-[6-[5-(2-Oxo-1,3,3A,4,6,6A-Hexahydrothieno[3,4-D]Imidazol-6-Yl)Pentanoylamino]Hexanoylamino]Hexanoylamino]Ethoxy]Ethoxy]Ethoxy]Ethoxy]Ethoxy]Ethoxy]Prop-1-Ynyl]Pyrimidin-1-Yl]-3-Hydroxy-Tetrahydrofuran-2-Yl]Methyl (Hydroxy-Phosphonooxy-Phosphoryl) Hydrogen Phosphate; [5-[2,4-Dioxo-5-[3-[2-[2-[2-[2-[2-[2-[[1-Oxo-6-[[1-Oxo-6-[[1-Oxo-5-(2-Oxo-1,3,3A,4,6,6A-Hexahydrothieno[3,4-D]Imidazol-6-Yl)Pentyl]Amino]Hexyl]Amino]Hexyl]Amino]Ethoxy]Ethoxy]Ethoxy]Ethoxy]Ethoxy]Ethoxy]Prop-1-Ynyl]-1-Pyrimidinyl]-3-Hydroxy-2-Tetrahydrofuranyl]Methyl (Hydroxy-Phosphonooxyphosphoryl) Hydrogen Phosphate; [5-[2,4-Diketo-5-[3-[2-[2-[2-[2-[2-[2-[6-[6-[5-(2-Keto-1,3,3A,4,6,6A-Hexahydrothieno[3,4-D]Imidazol-6-Yl)Pentanoylamino]Hexanoylamino]Hexanoylamino]Ethoxy]Ethoxy]Ethoxy]Ethoxy]Ethoxy]Ethoxy]Prop-1-Ynyl]Pyrimidin-1-Yl]-3-Hydroxy-Tetrahydrofuran-2-Yl]Methyl (Hydroxy-Phosphonooxy-Phosphoryl) Hydrogen Phosphate
分子结构 CAS 登录号:145396-04-9, 生物素-36-脱氧三磷酸尿苷
分子式 C46H78N7O24P3S
分子量 1238.14
CAS 登录号 145396-04-9
分子行输入简码 SMILES C(C#CC1=CN(C(NC1=O)=O)C2CC(C(CO[P](O[P](O[P](O)(=O)O)(=O)O)(=O)O)O2)O)OCCOCCOCCOCCOCCOCCNC(CCCCCNC(CCCCCNC(CCCCC3SCC4C3NC(N4)=O)=O)=O)=O
国际化学标识码 InChI 1S/C46H78N7O24P3S/c54-36-30-42(75-37(36)32-74-79(64,65)77-80(66,67)76-78(61,62)63)53-31-34(44(58)52-46(53)60)10-9-18-68-20-22-70-24-26-72-28-29-73-27-25-71-23-21-69-19-17-49-41(57)13-4-2-8-15-47-39(55)12-3-1-7-16-48-40(56)14-6-5-11-38-43-35(33-81-38)50-45(59)51-43/h31,35-38,42-43,54H,1-8,11-30,32-33H2,(H,47,55)(H,48,56)(H,49,57)(H,64,65)(H,66,67)(H2,50,51,59)(H,52,58,60)(H2,61,62,63)
国际化学标识检索码 InChIKey XCTWELOHSVXDPX-UHFFFAOYSA-N
市场分析报告
请浏览生物素-36-脱氧三磷酸尿苷市场分析报告总目录
相关产品
生物素-36-脱氧三磷酸胞苷  4-氨基-5-氟-1-[(2S,4S)-2-(羟基...  (3R,6R)-3-羟基-6-甲基氨基-6-(2-...  2-羟基-5-甲氧基-3-[(E)-3-甲基-5-...  (E)-2-氨基-3,4,5-三羟基-2-(羟基甲...  (E)-2-氨基-3,4,5-三羟基-2-甲基-1...  5-乙酰氨基-2-[[10,13-二甲基-17-(...  3-[2-羟基-7-[5-[(E)-1,4,5-三...  三-新-戊基亚磷酸盐  3-[2,6-二(丙-2-基)苯基]-1-(4-苯...  1-(环己基甲基)-3-(2,6-二乙基苯基)-1...  2-(beta,beta-二乙氧羰基苯乙基)吡啶鎓...  1-氨基-4-[(2-乙烯基磺酰基苯基)氨基]-9...  3-[[3-[4-(十六烷氧基)苯基]-1,3-二...  1-(1-羟基-5,6-二氢-2H-吡啶-3-基)...