Identification
| Name |
(S)-11-((O-(E)-4-O-(2-Methyl-1-Oxo-2-Butenyl)-beta-D-Glucopyranosyl-(1-4)-O-(S)-6-Deoxy-2-O-(2-Methyl-1-Oxobutyl)-alpha-L-Mannopyranosyl-(1-2)-O-beta-D-Glucopyranosyl-(1-2)-6-Deoxy-beta-D-Glucopyranosyl)Oxy)Hexadecanoic Acid Intramol, 1,3'''-Ester |
| Synonyms |
Hexadecanoic Acid, 11-((O-(E)-4-O-(2-Methyl-1-Oxo-2-Butenyl)-Beta-D-Glucopyranosyl-(1-4)-O-(S)-6-Deoxy-2-O-(2-Methyl-1-Oxobutyl)-Alpha-L-Mannopyranosyl-(1-2)-O-Beta-D-Glucopyranosyl-(1-2)-6-Deoxy-Beta-D-Glucopyranosyl)Oxy)-, Intramol, 1,3'''-Ester, (S)-; Scammonin Viii |
|
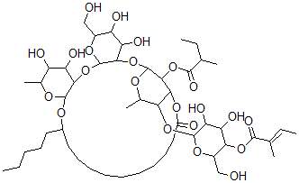
| Molecular Structure |
 |
| Molecular Formula |
C50H84O22 |
| Molecular Weight |
1037.20 |
| CAS Registry Number |
145042-06-4 |
| SMILES |
C(O)C3OC2OC1C(OC(C(O)C1O)C)OC(CCCCCCCCCC(OC4C(OC(=O)C(CC)C)C(OC2C(O)C3O)OC(C4OC5OC(C(OC(=O)C(=C/C)/C)C(O)C5O)CO)C)=O)CCCCC |
| InChI |
1S/C50H84O22/c1-8-11-17-20-29-21-18-15-13-12-14-16-19-22-32(53)67-43-39(70-47-38(59)37(58)40(31(24-52)66-47)68-45(60)25(4)9-2)28(7)63-50(44(43)69-46(61)26(5)10-3)72-42-36(57)34(55)30(23-51)65-49(42)71-41-35(56)33(54)27(6)62-48(41)64-29/h9,26-31,33-44,47-52,54-59H,8,10-24H2,1-7H3/b25-9+ |
| InChIKey |
ATAAFPJNNNHRBG-YCPBAFNGSA-N |
|