Online Database of Chemicals from Around the World

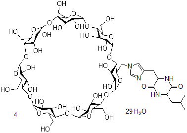
6alpha-脱氧-6alpha-(4-((六氢-5-(2-甲基丙基)-3,6-二氧代-2-嘧啶基)甲基)-1H-咪唑-1-基)-beta-环糊精水合物 (4:29)
[CAS# 144363-91-7]

供应商
CAS#: 144363-91-7
产品: 6alpha-脱氧-6alpha-(4-((六氢-5-(2-甲基丙基)-3,6-二氧代-2-嘧啶基)甲基)-1H-咪唑-1-基)-beta-环糊精水合物 (4:29)
暂时没有厂家供应该产品。
基本信息
产品名称 6alpha-脱氧-6alpha-(4-((六氢-5-(2-甲基丙基)-3,6-二氧代-2-嘧啶基)甲基)-1H-咪唑-1-基)-beta-环糊精水合物 (4:29)
英文名 6alpha-Deoxy-6alpha-(4-((Hexahydro-5-(2-Methylpropyl)-3,6-Dioxo-2-Pyrimidinyl)Methyl)-1H-Imidazol-1-Yl)-beta-Cyclodextrin Hydrate (4:29)
别名 6-Deoxy-6-Cyclo(L-His-L-Leu)-Beta-Cyclodextrin, Hydrate (4:29); 6-Deoxy-6-Cyclo(Histidyl-Leucyl)Cyclodextrin; Chl-Betacd
分子结构 CAS 登录号:144363-91-7, 6alpha-脱氧-6alpha-(4-((六氢-5-(2-甲基丙基)-3,6-二氧代-2-嘧啶基)甲基)-1H-咪唑-1-基)-beta-环糊精水合物 (4:29)
分子式 C216H402N16O173
分子量 5991.56
CAS 登录号 144363-91-7
分子行输入简码 SMILES O1C8C(OC(OC7C(O)C(O)C(OC6C(O)C(O)C(OC5C(O)C(O)C(OC4C(O)C(O)C(OC3C(O)C(O)C(OC2C(O)C(O)C1OC2CO)OC3CO)OC4CO)OC5CO)OC6CO)OC7CO)C(O)C8O)C[N]9C=C(N=C9)CC%10NC(=O)C(NC%10=O)CC(C)C.O%11C%18C(OC(OC%17C(O)C(O)C(OC%16C(O)C(O)C(OC%15C(O)C(O)C(OC%14C(O)C(O)C(OC%13C(O)C(O)C(OC%12C(O)C(O)C%11OC%12CO)OC%13CO)OC%14CO)OC%15CO)OC%16CO)OC%17CO)C(O)C%18O)C[N]%19C=C(N=C%19)CC%20NC(=O)C(NC%20=O)CC(C)C.O%21C%28C(OC(OC%27C(O)C(O)C(OC%26C(O)C(O)C(OC%25C(O)C(O)C(OC%24C(O)C(O)C(OC%23C(O)C(O)C(OC%22C(O)C(O)C%21OC%22CO)OC%23CO)OC%24CO)OC%25CO)OC%26CO)OC%27CO)C(O)C%28O)C[N]%29C=C(N=C%29)CC%30NC(=O)C(NC%30=O)CC(C)C.O.O.O.O.O.O.O.O.O.O.O.O.O.O.O.O.O.O.O.O.O.O.O.O.O.C%31=C(N=C[N]%31CC%32OC%33OC%39C(O)C(O)C(OC%38C(O)C(O)C(OC%37C(O)C(O)C(OC%36C(O)C(O)C(OC%35C(O)C(O)C(OC%34C(O)C(O)C(OC%32C(O)C%33O)OC%34CO)OC%35CO)OC%36CO)OC%37CO)OC%38CO)OC%39CO)CC%40NC(=O)C(NC%40=O)CC(C)C.O.O.O.O
国际化学标识码 InChI 1S/4C54H86N4O36.29H2O/c4*1-14(2)3-16-46(79)57-17(47(80)56-16)4-15-5-58(13-55-15)6-18-39-25(65)32(72)48(81-18)89-40-19(7-59)83-50(34(74)27(40)67)91-42-21(9-61)85-52(36(76)29(42)69)93-44-23(11-63)87-54(38(78)31(44)71)94-45-24(12-64)86-53(37(77)30(45)70)92-43-22(10-62)84-51(35(75)28(43)68)90-41-20(8-60)82-49(88-39)33(73)26(41)66;;;;;;;;;;;;;;;;;;;;;;;;;;;;;/h4*5,13-14,16-45,48-54,59-78H,3-4,6-12H2,1-2H3,(H,56,80)(H,57,79);29*1H2
国际化学标识检索码 InChIKey AJXATXIKBJGTTG-UHFFFAOYSA-N
市场分析报告
请浏览6alpha-脱氧-6alpha-(4-((六氢-5-(2-甲基丙基)-3,6-二氧代-2-嘧啶基)甲基)-1H-咪唑-1-基)-beta-环糊精水合物 (4:29)市场分析报告总目录
相关产品
甲基对甲苯磺酰基氨基甲酸酯  N,5-二甲基-2-[4-甲基-2-[4-甲基-2...  [(1R,2S,3S,4S,5R,6S)-5-氟-...  燕麦酯  3-碘-N-(3,4-二碘苯基)-2-羟基苯甲酰胺  N-[4-氯苯基]-2-羟基-3,5-二碘苯甲酰胺  3,5-二甲氧基-4-羟基苯甲酰肼  (2E,6E,10E,14E)-3,7,11,15...  (2E,6E,10E,14E)-30-[5-(2-...  2-[[1-[[1-[[(Z)-[5-(2,4-二...  2-[[1-[[1-[[(Z)-[5-(2,4-二...  2,3-二磷酰氧基丙酸  (2R,4S,5R,6R)-2,4,5-三羟基-6...  C-Terminally Located Ante...  1-(哌啶基)-3-(4-甲苯基磺酰基)脲