Online Database of Chemicals from Around the World

3-[[(13E,15Z,21E,23E)-19-[(E)-10-[(N,N'-二甲基甲脒基)氨基]癸-6-烯-2-基]-1,3,7,9,11,25,27,29,35,36-十羟基-4,8,12,20,24,26-六甲基-17-氧代-18,37-二氧杂双环[31.3.1]三十七碳-13,15,21,23-四烯-31-基]氧基]-3-氧代丙酸
[CAS# 143906-45-0]

供应商
CAS#: 143906-45-0
产品: 3-[[(13E,15Z,21E,23E)-19-[(E)-10-[(N,N'-二甲基甲脒基)氨基]癸-6-烯-2-基]-1,3,7,9,11,25,27,29,35,36-十羟基-4,8,12,20,24,26-六甲基-17-氧代-18,37-二氧杂双环[31.3.1]三十七碳-13,15,21,23-四烯-31-基]氧基]-3-氧代丙酸
暂时没有厂家供应该产品。
基本信息
产品名称 3-[[(13E,15Z,21E,23E)-19-[(E)-10-[(N,N'-二甲基甲脒基)氨基]癸-6-烯-2-基]-1,3,7,9,11,25,27,29,35,36-十羟基-4,8,12,20,24,26-六甲基-17-氧代-18,37-二氧杂双环[31.3.1]三十七碳-13,15,21,23-四烯-31-基]氧基]-3-氧代丙酸
英文名 3-[[(13E,15Z,21E,23E)-19-[(E)-10-[(N,N'-Dimethylcarbamimidoyl)Amino]Dec-6-En-2-Yl]-1,3,7,9,11,25,27,29,35,36-Decahydroxy-4,8,12,20,24,26-Hexamethyl-17-Oxo-18,37-Dioxabicyclo[31.3.1]Heptatriaconta-13,15,21,23-Tetraen-31-Yl]Oxy]-3-Oxopropanoic Acid
别名 3-[[(13E,15Z,21E,23E)-19-[(E)-9-[(N,N'-Dimethylcarbamimidoyl)Amino]-1-Methyl-Non-5-Enyl]-1,3,7,9,11,25,27,29,35,36-Decahydroxy-4,8,12,20,24,26-Hexamethyl-17-Oxo-18,37-Dioxabicyclo[31.3.1]Heptatriaconta-13,15,21,23-Tetraen-31-Yl]Oxy]-3-Oxo-Propanoic Acid; 3-[[(13E,15Z,21E,23E)-1,3,7,9,11,25,27,29,35,36-Decahydroxy-4,8,12,20,24,26-Hexamethyl-19-[(E)-1-Methyl-9-[(Methylamino-Methyliminomethyl)Amino]Non-5-Enyl]-17-Oxo-18,37-Dioxabicyclo[31.3.1]Heptatriaconta-13,15,21,23-Tetraen-31-Yl]Oxy]-3-Oxopropanoic Acid; 3-[[(13E,15Z,21E,23E)-19-[(E)-9-[(N,N'-Dimethylcarbamimidoyl)Amino]-1-Methyl-Non-5-Enyl]-1,3,7,9,11,25,27,29,35,36-Decahydroxy-17-Keto-4,8,12,20,24,26-Hexamethyl-18,37-Dioxabicyclo[31.3.1]Heptatriaconta-13,15,21,23-Tetraen-31-Yl]Oxy]-3-Keto-Propionic Acid
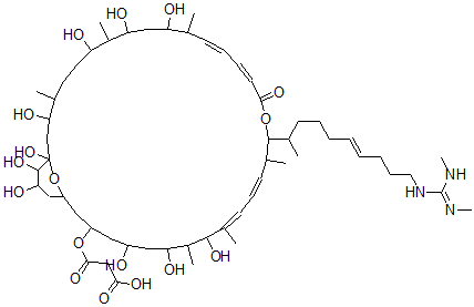
分子结构 CAS 登录号:143906-45-0, 3-[[(13E,15Z,21E,23E)-19-[(E)-10-[(N,N'-二甲基甲脒基)氨基]癸-6-烯-2-基]-1,3,7,9,11,25,27,29,35,36-十羟基-4,8,12,20,24,26-六甲基-17-氧代-18,37-二氧杂双环[31.3.1]三十七碳-13,15,21,23-四烯-31-基]氧基]-3-氧代丙酸
分子式 C57H97N3O17
分子量 1096.40
CAS 登录号 143906-45-0
分子行输入简码 SMILES C(C(OC2CC1OC(O)(C(O)C(O)C1)CC(O)C(CCC(O)C(C(O)CC(O)C(C)\C=C\C=C/C(OC(C(CCC\C=C\CCCNC(NC)=NC)C)C(\C=C\C=C(C(O)C(C(O)CC(O)C2)C)/C)C)=O)C)C)=O)C(O)=O
国际化学标识码 InChI 1S/C57H97N3O17/c1-34-19-15-16-23-51(70)76-54(37(4)20-14-12-10-11-13-17-26-60-56(58-8)59-9)38(5)22-18-21-36(3)53(72)40(7)46(64)28-41(61)27-42(75-52(71)32-50(68)69)29-43-30-48(66)55(73)57(74,77-43)33-49(67)35(2)24-25-44(62)39(6)47(65)31-45(34)63/h10-11,15-16,18-19,21-23,34-35,37-49,53-55,61-67,72-74H,12-14,17,20,24-33H2,1-9H3,(H,68,69)(H2,58,59,60)/b11-10+,19-15+,22-18+,23-16-,36-21+
国际化学标识检索码 InChIKey FTSHIRULWVXAOC-RKGHMIIGSA-N
市场分析报告
请浏览3-[[(13E,15Z,21E,23E)-19-[(E)-10-[(N,N'-二甲基甲脒基)氨基]癸-6-烯-2-基]-1,3,7,9,11,25,27,29,35,36-十羟基-4,8,12,20,24,26-六甲基-17-氧代-18,37-二氧杂双环[31.3.1]三十七碳-13,15,21,23-四烯-31-基]氧基]-3-氧代丙酸市场分析报告总目录
相关产品
3-[[(13E,15Z,21E,23E)-1,3...  碲125  镁[2-[甲基-[(3E,7E)-4,8,12-三...  镓69    铼187  溴托齐林  2-甲基-1-硝基-3-亚硝基苯  (3-氨基-2-甲基苯基)-(3-氨基-2-甲基苯...  3-(3-氨基-2-甲基苯基)偶氮-2-甲基苯胺  (3-乙酰基-4-氨基-2-甲基苯基)-(3-乙酰...  1-[3-(3-乙酰基-4-氨基-2-甲基苯基)偶...  4H-环戊二烯并(def)屈-4-醇  4-羟基辛基苯甲酮  N-丁烷-2-基-1-[5-[(3',6'-二羟基...