Online Database of Chemicals from Around the World

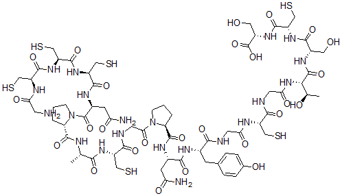
Glycyl-L-Cysteinyl-L-Cysteinyl-L-Cysteinyl-L-Asparaginyl-L-Prolyl-L-Alanyl-L-Cysteinylglycyl-L-Prolyl-L-Asparaginyl-L-Tyrosylglycyl-L-Cysteinylglycyl-L-Threonyl-L-Seryl-L-Cysteinyl-L-Serine
[CAS# 143294-31-9]

Identification
Name Glycyl-L-Cysteinyl-L-Cysteinyl-L-Cysteinyl-L-Asparaginyl-L-Prolyl-L-Alanyl-L-Cysteinylglycyl-L-Prolyl-L-Asparaginyl-L-Tyrosylglycyl-L-Cysteinylglycyl-L-Threonyl-L-Seryl-L-Cysteinyl-L-Serine
Synonyms Alpha-Conotoxin Sii
Molecular Structure CAS#: 143294-31-9, Glycyl-L-Cysteinyl-L-Cysteinyl-L-Cysteinyl-L-Asparaginyl-L-Prolyl-L-Alanyl-L-Cysteinylglycyl-L-Prolyl-L-Asparaginyl-L-Tyrosylglycyl-L-Cysteinylglycyl-L-Threonyl-L-Seryl-L-Cysteinyl-L-Serine
Molecular Formula C66H101N21O26S6
Molecular Weight 1797.01
CAS Registry Number 143294-31-9
SMILES [C@@H](NC(CN)=O)(C(=O)N[C@H](C(=O)N[C@H](C(=O)N[C@H](C(=O)N3[C@H](C(=O)N[C@@H](C)C(=O)N[C@H](C(=O)NCC(=O)N2[C@H](C(=O)N[C@H](C(=O)N[C@H](C(=O)NCC(=O)N[C@H](C(=O)NCC(=O)N[C@H](C(=O)N[C@H](C(=O)N[C@H](C(=O)N[C@H](C(=O)O)CO)CS)CO)[C@H](O)C)CS)CC1=CC=C(C=C1)O)CC(=O)N)CCC2)CS)CCC3)CC(=O)N)CS)CS)CS
InChI 1S/C66H101N21O26S6/c1-28(73-62(108)44-6-4-12-87(44)65(111)34(15-46(69)93)78-59(105)40(25-117)84-61(107)42(27-119)83-58(104)39(24-116)74-47(94)16-67)52(98)81-38(23-115)55(101)72-19-50(97)86-11-3-5-43(86)63(109)77-33(14-45(68)92)56(102)76-32(13-30-7-9-31(91)10-8-30)53(99)70-17-48(95)75-37(22-114)54(100)71-18-49(96)85-51(29(2)90)64(110)79-35(20-88)57(103)82-41(26-118)60(106)80-36(21-89)66(112)113/h7-10,28-29,32-44,51,88-91,114-119H,3-6,11-27,67H2,1-2H3,(H2,68,92)(H2,69,93)(H,70,99)(H,71,100)(H,72,101)(H,73,108)(H,74,94)(H,75,95)(H,76,102)(H,77,109)(H,78,105)(H,79,110)(H,80,106)(H,81,98)(H,82,103)(H,83,104)(H,84,107)(H,85,96)(H,112,113)/t28-,29+,32-,33-,34-,35-,36-,37-,38-,39-,40-,41-,42-,43-,44-,51-/m0/s1
InChIKey YNWQPDMRDQFPAV-HQGLSJOVSA-N
Properties
Density 1.467g/cm3 (Cal.)
Boiling point 2252.7°C at 760 mmHg (Cal.)
Flash point 1316.2°C (Cal.)
Market Analysis Reports
List of Reports Available for Glycyl-L-Cysteinyl-L-Cysteinyl-L-Cysteinyl-L-Asparaginyl-L-Prolyl-L-Alanyl-L-Cysteinylglycyl-L-Prolyl-L-Asparaginyl-L-Tyrosylglycyl-L-Cysteinylglycyl-L-Threonyl-L-Seryl-L-Cysteinyl-L-Serine
Related Products
19-Hydroperoxy-20-Hydroxyicosanoic Acid  [4-(2,3-Diamino-3-Oxopropyl)Phenyl] 2-Me...  N-(2-Indol-1-Ylethyl)-N-Methylaniline  (3-Hydroxy-2-Phosphonooxypropyl) 2-Amino...  N-(2-Aminoethyl)-N-[2-[[(E)-3-(4-Chlorop...  8-[(2S,3S,4R)-2,3,4,5-Tetrahydroxypentyl...  Urea-D4  N-Heptadecylpropane-1,3-Diamine  1,2-Dihydro-1-Naphthyl-5H-Tetrazole-5-Th...  6-(4,5-Dihydroxy-4,6-Dimethyloxan-2-Yl)O...  2-Ethyl-4(1H)-Pyrimidinone  2,4-Dimethyl-Pyrimidine  [(Z)-Docos-13-Enyl] 2-Trimethylazaniumyl...  2,6-Bis(3,4-Dimethoxyphenyl)Oxane  Bismuth-210