Online Database of Chemicals from Around the World

(谷氨酰-谷氨酰-天冬氨酰胺酰-缬氨酰)6
[CAS# 138783-15-0]

供应商
CAS#: 138783-15-0
产品: (谷氨酰-谷氨酰-天冬氨酰胺酰-缬氨酰)6
暂时没有厂家供应该产品。
基本信息
产品名称 (谷氨酰-谷氨酰-天冬氨酰胺酰-缬氨酰)6
英文名 (Glutamyl-glutamyl-asparaginyl-valyl)6
别名 (Glu-Glu-Asp-Val)6; (Glutamyl-Glutamyl-Asparaginyl-Valyl)6; L-Valine, L-Alpha,Glutamyl-L-Alpha-Glutamyl-L-Asparaginyl-L-Valyl-L-Alpha-Glutamyl-L-Alpha-Glutamyl-L-Asparaginyl-L-Valyl-L-Alpha-Glutamyl-L-Alpha-Glutamyl-L-Asparaginyl-L-Valyl-L-Alpha-Glutamyl-L-Alpha-Glutamyl-L-Asparaginyl-L-Valyl-L-Alpha-Glutamyl-L-Alpha-Glutamyl-L-Asparaginyl-L-Valyl-L-Alpha-Glutamyl-L-Alpha-Glutamyl-L-Asparaginyl-
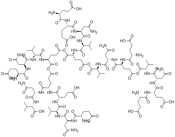
分子结构 CAS 登录号:138783-15-0, (谷氨酰-谷氨酰-天冬氨酰胺酰-缬氨酰)6
分子式 C114H176N30O55
分子量 2846.81
CAS 登录号 138783-15-0
分子行输入简码 SMILES [C@H](C(=O)O)(NC([C@@H](NC([C@@H](NC([C@@H](NC([C@@H](NC([C@@H](NC([C@@H](N)CCC(=O)O)=O)CC(=O)N)=O)C(C)C)=O)CCC(=O)O)=O)CCC(=O)OC([C@@H](NC([C@@H](NC([C@@H](NC([C@@H](N)CCC(=O)O)=O)CC(=O)N)=O)C(C)C)=O)CCC(=O)OC([C@@H](NC([C@@H](NC([C@@H](NC([C@@H](NC([C@@H](N)CCC(=O)O)=O)CCC(=O)O)=O)CC(=O)N)=O)C(C)C)=O)CCC(=O)OC([C@@H](NC([C@@H](NC([C@@H](NC([C@@H](N)CCC(=O)O)=O)CCC(=O)OC([C@@H](NC([C@@H](NC([C@@H](NC([C@@H](N)CCC(=O)O)=O)CCC(=O)O)=O)CC(=O)N)=O)C(C)C)=O)=O)CC(=O)N)=O)C(C)C)=O)=O)=O)=O)CC(=O)N)=O)C(C)C
国际化学标识码 InChI 1S/C114H176N30O55/c1-43(2)85(139-101(181)61(37-67(120)145)133-94(174)52(118)16-28-76(157)158)107(187)130-56(20-32-80(165)166)96(176)129-58(100(180)136-64(40-70(123)148)104(184)142-88(46(7)8)110(190)191)22-33-81(167)196-111(192)59(131-108(188)86(44(3)4)140-102(182)62(38-68(121)146)134-95(175)53(119)17-29-77(159)160)23-35-82(168)197-112(193)60(132-109(189)87(45(5)6)141-103(183)63(39-69(122)147)135-97(177)54(18-30-78(161)162)126-91(171)49(115)13-25-73(151)152)24-36-84(170)199-114(195)90(48(11)12)144-106(186)66(42-72(125)150)138-99(179)57(128-93(173)51(117)15-27-75(155)156)21-34-83(169)198-113(194)89(47(9)10)143-105(185)65(41-71(124)149)137-98(178)55(19-31-79(163)164)127-92(172)50(116)14-26-74(153)154/h43-66,85-90H,13-42,115-119H2,1-12H3,(H2,120,145)(H2,121,146)(H2,122,147)(H2,123,148)(H2,124,149)(H2,125,150)(H,126,171)(H,127,172)(H,128,173)(H,129,176)(H,130,187)(H,131,188)(H,132,189)(H,133,174)(H,134,175)(H,135,177)(H,136,180)(H,137,178)(H,138,179)(H,139,181)(H,140,182)(H,141,183)(H,142,184)(H,143,185)(H,144,186)(H,151,152)(H,153,154)(H,155,156)(H,157,158)(H,159,160)(H,161,162)(H,163,164)(H,165,166)(H,190,191)/t49-,50-,51-,52-,53-,54-,55-,56-,57-,58-,59-,60-,61-,62-,63-,64-,65-,66-,85-,86-,87-,88-,89-,90-/m0/s1
国际化学标识检索码 InChIKey CWKMFJLXRHKPNV-MVMRWILZSA-N
市场分析报告
请浏览(谷氨酰-谷氨酰-天冬氨酰胺酰-缬氨酰)6市场分析报告总目录
相关产品
五亚甲基二硫代氨基甲酸锌  1,1'-[亚甲基二(氧基乙烷-1,2-二基氧基)...  2-咪唑-1-基-4-吡咯烷-1-基嘧啶盐酸盐  2-咪唑-1-基-4-哌啶-1-基嘧啶盐酸盐  1,2-十四烷二胺二盐酸盐  3-(5-氨基-2-甲基苯基)偶氮-4-甲基苯胺  (5-氨基-2-甲基苯基)-(5-氨基-2-甲基苯...  3-甲基-4-苯基丁醛  3-氯-2-羟基-2-甲基-丙酸  丙-1-烯磺酰基异氰酸酯  甲基甲烷硫代亚磺酸酯  丁二酰-苯丙氨酰-谷氨酰-脯氨酰-异亮氨酰-脯氨酰...  3-氨基-4a,8-二甲基-1H-吩恶嗪-2-酮  菝葜配基 3-O-(beta-D-吡喃葡萄糖基 1...  N-(5-乙基-1,3,4-噻二唑-2-基)-4-...