基本信息
| 产品名称 |
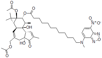
佛波醇-13-乙酸酯-12-N-甲基-N-4-(N,N'-二(2-羟基乙基)氨基)-7-硝基苯并-2-氧杂-1,3-二氮唑-氨基月桂酸酯 |
| 英文名 |
Phorbol-13-acetate-12-N-methyl-N-4-(N,N'-di(2-hydroxyethyl)amino)-7-nitrobenz-2-oxa-1,3-diazole-aminododecanoate |
| 别名 |
Dodecanoic Acid, 12-(Methyl(7-Nitro-4-Benzofurazanyl)Amino)-, 9A-(Acetyloxy)-3-((Acetyloxy)Methyl)-1A,1B,4,4A,5,7A,7B,8,9,9A-Decahydro-4A,7B-Dihydroxy-1,1,6,8-Tetramethyl-5-Oxo-1H-Cyclopropa(3,4)Benz(1,2-E)Azulen-9-Yl Ester, (1Ar-(1Aalpha,1Bbeta,4Abeta,7Aalpha,7Balpha,8Alpha,9Beta,9Aalpha))-; Nbd-Tpa; Phorbol-13-Acetate-12-N-Methyl-N-4-(N,N'-Di(2-Hydroxyethyl)Amino)-7-Nitrobenz-2-Oxa-1,3-Diazole-Aminododecanoate |
|
| 分子结构 |
 |
| 分子式 |
C43H58N4O12 |
| 分子量 |
822.95 |
| CAS 登录号 |
137034-69-6 |
| 分子行输入简码 SMILES |
[C@H]14[C@](OC(=O)C)(C1(C)C)[C@H](OC(=O)CCCCCCCCCCCN(C2=CC=C([N+]([O-])=O)C3=NON=C23)C)[C@H]([C@@]5(O)[C@H]4C=C(C[C@@]6(O)[C@H]5C=C(C6=O)C)COC(=O)C)C |
| 国际化学标识码 InChI |
1S/C43H58N4O12/c1-25-21-33-41(52,38(25)51)23-29(24-56-27(3)48)22-30-37-40(5,6)43(37,58-28(4)49)39(26(2)42(30,33)53)57-34(50)17-15-13-11-9-8-10-12-14-16-20-46(7)31-18-19-32(47(54)55)36-35(31)44-59-45-36/h18-19,21-22,26,30,33,37,39,52-53H,8-17,20,23-24H2,1-7H3/t26-,30+,33-,37-,39-,41-,42-,43-/m1/s1 |
| 国际化学标识检索码 InChIKey |
IVPOMGYCQKBCHG-KQZNBZGZSA-N |
|