Online Database of Chemicals from Around the World

31-O-去甲基-Fk506
[CAS# 135635-47-1]

供应商
CAS#: 135635-47-1
产品: 31-O-去甲基-Fk506
暂时没有厂家供应该产品。
基本信息
产品名称 31-O-去甲基-Fk506
英文名 31-O-Demethyl-FK506
别名 31-O-Demethyl-Fk506; 15,19-Epoxy-3H-Pyrido(2,1-C)(1,4)Oxaazacyclotricosine-1,7,20,21(4H,23H)-Tetrone, 3-(2-(3,4-Dihydroxycyclohexyl)-1-Methylethenyl)- 5,6,8,11,12,13,14,15,16,17,18,19,24,25,26,26A-Hexadecahydro-5,19-Dihydroxy-14,16-Dimethoxy-4,10,12,18-Tetramethyl-8-(2-Propenyl)-
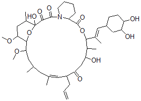
分子结构 CAS 登录号:135635-47-1, 31-O-去甲基-Fk506
分子式 C43H67NO12
分子量 790.00
CAS 登录号 135635-47-1
分子行输入简码 SMILES C(C2\C=C(CC(CC(OC)C4OC(C(C(N1CCCCC1C(OC(C(C(CC2=O)O)C)C(/C)=C/C3CCC(O)C(O)C3)=O)=O)=O)(O)C(CC4OC)C)C)/C)C=C
国际化学标识码 InChI 1S/C43H67NO12/c1-9-12-30-18-24(2)17-25(3)19-36(53-7)39-37(54-8)21-27(5)43(52,56-39)40(49)41(50)44-16-11-10-13-31(44)42(51)55-38(28(6)33(46)23-34(30)47)26(4)20-29-14-15-32(45)35(48)22-29/h9,18,20,25,27-33,35-39,45-46,48,52H,1,10-17,19,21-23H2,2-8H3/b24-18+,26-20+
国际化学标识检索码 InChIKey VHOPGJHKSPGXIZ-AMASXYNMSA-N
市场分析报告
请浏览31-O-去甲基-Fk506市场分析报告总目录
相关产品
1,3,7-三羟基-8-甲氧基-3-甲基-1,2,...  1,3-二羟基-8-甲氧基-3-甲基-2,4-二氢...  (11alpha,12beta,16alpha)-...  6-氧杂苯并(3,4)-D-高雌甾-1,3,5(1...  3,4,5,13-四氢-3H-2-苯并噻吩并(5,...  4-氟-4'-甲基查耳酮  钼酸铋  焦磷酸锆  钇钒氧化物  锌二偏磷酸盐  三偏磷酸  N,N'-二甲基-2-甲基丙二酰胺  (2R)-2-(叔丁基磺酰基甲基)-N-[(2S)...  beta-鹅膏毒素  [3R-(3alpha,3abeta,6alpha...