Online Database of Chemicals from Around the World

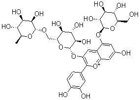
3-[[6-O-(6-脱氧-alpha-L-甘露糖基)-beta-D-吡喃葡萄糖基]氧基]-2-(3,4-二羟基苯基)-5-(beta-D-吡喃葡萄糖基氧基)-7-羟基-1-苯并吡喃鎓
[CAS# 135558-26-8]

基本信息
产品名称 3-[[6-O-(6-脱氧-alpha-L-甘露糖基)-beta-D-吡喃葡萄糖基]氧基]-2-(3,4-二羟基苯基)-5-(beta-D-吡喃葡萄糖基氧基)-7-羟基-1-苯并吡喃鎓
英文名 3-[[6-O-(6-Deoxy-alpha-L-Mannopyranosyl)-beta-D-Glucopyranosyl]Oxy]-2-(3,4-Dihydroxyphenyl)-5-(beta-D-Glucopyranosyloxy)-7-Hydroxy-1-Benzopyrylium
别名 (2S,3R,4S,5S,6R)-2-[2-(3,4-Dihydroxyphenyl)-7-Hydroxy-5-[(2S,3R,4S,5S,6R)-3,4,5-Trihydroxy-6-(Hydroxymethyl)Tetrahydropyran-2-Yl]Oxy-Chromenylium-3-Yl]Oxy-6-[[(2R,3R,4R,5R,6S)-3,4,5-Trihydroxy-6-Methyl-Tetrahydropyran-2-Yl]Oxymethyl]Tetrahydropyran-3,4,5-Triol; (2S,3R,4S,5S,6R)-2-[[2-(3,4-Dihydroxyphenyl)-7-Hydroxy-5-[[(2S,3R,4S,5S,6R)-3,4,5-Trihydroxy-6-(Hydroxymethyl)-2-Tetrahydropyranyl]Oxy]-3-Chromenyliumyl]Oxy]-6-[[(2R,3R,4R,5R,6S)-3,4,5-Trihydroxy-6-Methyl-2-Tetrahydropyranyl]Oxymethyl]Tetrahydropyran-3,4,5-Triol; (2S,3R,4S,5S,6R)-2-[[2-(3,4-Dihydroxyphenyl)-7-Hydroxy-5-[(2S,3R,4S,5S,6R)-3,4,5-Trihydroxy-6-Methylol-Tetrahydropyran-2-Yl]Oxy-1-Benzopyrylium-3-Yl]Oxy]-6-[[(2R,3R,4R,5R,6S)-3,4,5-Trihydroxy-6-Methyl-Tetrahydropyran-2-Yl]Oxymethyl]Tetrahydropyran-3,4,5-Triol
分子结构 CAS 登录号:135558-26-8, 3-[[6-O-(6-脱氧-alpha-L-甘露糖基)-beta-D-吡喃葡萄糖基]氧基]-2-(3,4-二羟基苯基)-5-(beta-D-吡喃葡萄糖基氧基)-7-羟基-1-苯并吡喃鎓
分子式 C33H41O20
分子量 757.67
CAS 登录号 135558-26-8
分子行输入简码 SMILES [O+]1=C5C(=CC(=C1C2=CC(=C(C=C2)O)O)O[C@H]3[C@@H]([C@@H](O)[C@@H]([C@H](O3)CO[C@H]4[C@@H]([C@H](O)[C@H]([C@@H](O4)C)O)O)O)O)C(=CC(=C5)O)O[C@H]6[C@@H]([C@@H](O)[C@@H]([C@H](O6)CO)O)O
国际化学标识码 InChI 1S/C33H40O20/c1-10-21(38)24(41)27(44)31(48-10)47-9-20-23(40)26(43)29(46)33(53-20)51-18-7-13-16(49-30(18)11-2-3-14(36)15(37)4-11)5-12(35)6-17(13)50-32-28(45)25(42)22(39)19(8-34)52-32/h2-7,10,19-29,31-34,38-46H,8-9H2,1H3,(H2-,35,36,37)/p+1/t10-,19+,20+,21-,22+,23+,24+,25-,26-,27+,28+,29+,31+,32+,33+/m0/s1
国际化学标识检索码 InChIKey DFJZNAHUOVEDQB-HWKLKBEVSA-O
市场分析报告
请浏览3-[[6-O-(6-脱氧-alpha-L-甘露糖基)-beta-D-吡喃葡萄糖基]氧基]-2-(3,4-二羟基苯基)-5-(beta-D-吡喃葡萄糖基氧基)-7-羟基-1-苯并吡喃鎓市场分析报告总目录
相关产品
4-(3,5-二甲基-1H-吡唑-1-基)-1-肼...  1,2-二(2-氯苯基)-二氮烯 1-氧化物  2-(1-羧基乙氧基)-1-甲基-2-氧代乙基月桂...  2-叠氮基-1-甲基-6-苯基-1H-咪唑并[4,...  N-(2-氯乙酰基)-氨基甲酸甲酯  1-(3,3,4,4,5,5,6,6-八氟-1-碘...  1-(3,3,4,4,5,5,6,6,6-九氟-1...  2-氯-N-[(4-甲氧基苯基)氨基甲酰]乙酰胺  N-[[(4-溴苯基)氨基]羰基]-2-氯-乙酰胺  3-亚氨基-3H-吩噻嗪-7-胺  1,7,7-三甲基-双环[2.2.1]庚烷-2-酮...  异硫氰酸基磷酸 O,O-二苯基酯  3-氧代-丁酸 1-甲基丙基酯  3-氧代-丁酸己酯  2-羟基-N-2-吡啶基-苯甲酰胺