Online Database of Chemicals from Around the World

Dansylisocyclosporin A
[CAS# 134998-06-4]

Suppliers
International Laboratory Limited USA Inquire  
+1 (650) 278-9963
admin@intlab.org
Chemical manufacturer since 2002
Identification
Name Dansylisocyclosporin A
Synonyms 5-Dimethylamino-N-[30-Ethyl-6,9,18,24-Tetraisobutyl-3,21-Diisopropyl-4,7,10,12,15,19,25,28-Octamethyl-34-[(Z)-1-Methylpent-3-Enyl]-2,5,8,11,14,17,20,23,26,29,32-Undecaoxo-1-Oxa-4,7,10,13,16,19,22,25,28,31-Decazacyclotetratriacont-33-Yl]-N-Methyl-Naphthalene-1-Sulfonamide; 5-Dimethylamino-N-[30-Ethyl-6,9,18,24-Tetraisobutyl-3,21-Diisopropyl-4,7,10,12,15,19,25,28-Octamethyl-34-[(Z)-1-Methylpent-3-Enyl]-2,5,8,11,14,17,20,23,26,29,32-Undecaoxo-1-Oxa-4,7,10,13,16,19,22,25,28,31-Decazacyclotetratriacont-33-Yl]-N-Methyl-1-Naphthalenesulfonamide; 5-Dimethylamino-N-[30-Ethyl-6,9,18,24-Tetraisobutyl-3,21-Diisopropyl-2,5,8,11,14,17,20,23,26,29,32-Undecaketo-4,7,10,12,15,19,25,28-Octamethyl-34-[(Z)-1-Methylpent-3-Enyl]-1-Oxa-4,7,10,13,16,19,22,25,28,31-Decazacyclotetratriacont-33-Yl]-N-Methyl-Naphthalene-1-Sulfonamide
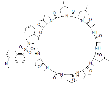
Molecular Structure CAS#: 134998-06-4, Dansylisocyclosporin A
Molecular Formula C74H122N12O14S
Molecular Weight 1435.91
CAS Registry Number 134998-06-4
SMILES C1=CC=C3C(=C1[S](=O)(=O)N(C2C(OC(=O)C(N(C(=O)C(N(C(=O)C(N(C(=O)C(NC(=O)C(NC(=O)C(N(C(=O)C(NC(=O)C(N(C(=O)CN(C(=O)C(NC2=O)CC)C)C)CC(C)C)C(C)C)C)CC(C)C)C)C)C)CC(C)C)C)CC(C)C)C)C(C)C)C(C\C=C/C)C)C)C=CC=C3N(C)C
InChI 1S/C74H122N12O14S/c1-27-29-32-48(15)64-63(86(26)101(98,99)59-36-31-33-51-52(59)34-30-35-54(51)79(18)19)68(91)77-53(28-2)70(93)80(20)41-60(87)81(21)55(37-42(3)4)67(90)78-61(46(11)12)73(96)82(22)56(38-43(5)6)66(89)75-49(16)65(88)76-50(17)69(92)83(23)57(39-44(7)8)71(94)84(24)58(40-45(9)10)72(95)85(25)62(47(13)14)74(97)100-64/h27,29-31,33-36,42-50,53,55-58,61-64H,28,32,37-41H2,1-26H3,(H,75,89)(H,76,88)(H,77,91)(H,78,90)/b29-27-
InChIKey PEESMJPKWWGPHE-OHYPFYFLSA-N
Properties
Density 1.194g/cm3 (Cal.)
Market Analysis Reports
List of Reports Available for Dansylisocyclosporin A
Related Products
6-(2-Ethyl-5-Hydroxyhexoxy)-6-Oxohexanoi...  3-Nitroso-7,8,9,10-Tetrahydrobenzo[a]Pyr...  4-Nitro-9,10,11,12-Tetrahydrobenzo(E)Pyr...  4-[2-(4-Phenylphenyl)Ethoxy]Pyrido[3,2-e...  1-[(2R,4S,5R)-4-Hydroxy-5-(Hydroxymethyl...  2-Hydroxyethyl-Dimethylselanium  N-Propyl-10-[(2R)-1-Pyrrolidin-1-Ylpropa...  N-[(2-Chlorophenyl)Methyl]-7-[Di(Phenyl)...  Agaveside C  Pedicularioside A  1-Methyl-3-Propylimidazole-2-Thione  2-Hydroxy-2-(Trifluoromethyl)Octadec-4-E...  (2S)-2-[[(2S,3R)-2-Amino-3-Hydroxybutano...  Sodium Tetradecene-1-Sulphonate  4-Sulfanylidene-1H-Quinoline-2-Carboxyli...