Online Database of Chemicals from Around the World

Gpl X1 glycopeptidolipid
[CAS# 134874-51-4]

Suppliers
CAS#: 134874-51-4
Product: Gpl X1 glycopeptidolipid
No suppilers available for the product.
Identification
Name Gpl X1 glycopeptidolipid
Synonyms [2-[2-[2-[2-[[2-[[2-[[3-(3,5-Dihydroxy-4-Methoxy-6-Methyl-Tetrahydropyran-2-Yl)Oxy-2-(Dodecanoylamino)Propanoyl]Amino]-3-Hydroxy-Propanoyl]Amino]-3-[3-(2-Oxopentadecyl)Phenyl]Propanoyl]Amino]-3-Methoxy-1-Methyl-3-Oxo-Propoxy]-3,5,6-Trihydroxy-Tetrahydropyran-4-Yl]Oxy-3,5-Dihydroxy-6-Methyl-Tetrahydropyran-4-Yl]Oxy-5-Hydroxy-6-Methyl-4-(3,4,5-Trimethoxy-6-Methyl-Tetrahydropyran-2-Yl)Oxy-Tetrahydropyran-3-Yl] (E)-Dodec-5-Enoate; (E)-Dodec-5-Enoic Acid [2-[[2-[[2-[2-[[2-[[2-[[3-[(3,5-Dihydroxy-4-Methoxy-6-Methyl-2-Tetrahydropyranyl)Oxy]-1-Oxo-2-(1-Oxododecylamino)Propyl]Amino]-3-Hydroxy-1-Oxopropyl]Amino]-1-Oxo-3-[3-(2-Oxopentadecyl)Phenyl]Propyl]Amino]-3-Methoxy-1-Methyl-3-Oxopropoxy]-3,5,6-Trihydroxy-4-Tetrahydropyranyl]Oxy]-3,5-Dihydroxy-6-Methyl-4-Tetrahydropyranyl]Oxy]-5-Hydroxy-6-Methyl-4-[(3,4,5-Trimethoxy-6-Methyl-2-Tetrahydropyranyl)Oxy]-3-Tetrahydropyranyl] Ester; (E)-Dodec-5-Enoic Acid [2-[2-[2-[2-[[2-[[2-[[3-(3,5-Dihydroxy-4-Methoxy-6-Methyl-Tetrahydropyran-2-Yl)Oxy-2-(Lauroylamino)Propanoyl]Amino]-3-Hydroxy-Propanoyl]Amino]-3-[3-(2-Ketopentadecyl)Phenyl]Propanoyl]Amino]-3-Keto-3-Methoxy-1-Methyl-Propoxy]-3,5,6-Trihydroxy-Tetrahydropyran-4-Yl]Oxy-3,5-Dihydroxy-6-Methyl-Tetrahydropyran-4-Yl]Oxy-5-Hydroxy-6-Methyl-4-(3,4,5-Trimethoxy-6-Methyl-Tetrahydropyran-2-Yl)Oxy-Tetrahydropyran-3-Yl] Ester
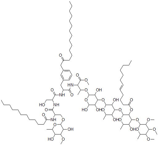
Molecular Structure CAS#: 134874-51-4, Gpl X1 glycopeptidolipid
Molecular Formula C92H156N4O32
Molecular Weight 1830.25
CAS Registry Number 134874-51-4
SMILES C6=C(CC(C(NC(C(OC1C(C(C(C(O1)O)O)OC4C(C(OC3C(C(OC2C(C(C(C(O2)C)OC)OC)OC)C(C(O3)C)O)OC(=O)CCC\C=C\CCCCCC)C(C(O4)C)O)O)O)C)C(OC)=O)=O)NC(C(CO)NC(=O)C(COC5C(C(C(C(O5)C)O)OC)O)NC(=O)CCCCCCCCCCC)=O)C=CC=C6CC(CCCCCCCCCCCCC)=O
InChI 1S/C92H156N4O32/c1-14-17-20-23-26-29-30-33-34-37-40-46-61(98)50-59-44-43-45-60(49-59)51-62(94-84(109)63(52-97)95-85(110)64(53-118-88-72(105)76(114-10)68(101)55(5)120-88)93-65(99)47-41-38-35-31-27-24-21-18-15-2)83(108)96-67(86(111)117-13)54(4)119-90-74(107)78(71(104)87(112)128-90)125-89-73(106)77(69(102)56(6)121-89)126-92-82(124-66(100)48-42-39-36-32-28-25-22-19-16-3)79(70(103)57(7)122-92)127-91-81(116-12)80(115-11)75(113-9)58(8)123-91/h32,36,43-45,49,54-58,62-64,67-82,87-92,97,101-107,112H,14-31,33-35,37-42,46-48,50-53H2,1-13H3,(H,93,99)(H,94,109)(H,95,110)(H,96,108)/b36-32+
InChIKey YNNDCUKXFWSZFW-WIKZRCHHSA-N
Market Analysis Reports
List of Reports Available for Gpl X1 glycopeptidolipid
Related Products
1,3-Dinitrobenzo(E)Pyrene  (2S)-2-[[(2S)-2-Amino-3-[3-(2-Furan-2-Yl...  (2S,3S,4S,5R,6R)-2-[2-[(2Z,5Z,7Z,9R,10R,...  2-[(2S)-2,6-Dimethylhept-5-Enyl]-1,3-Dio...  3-Chloro-1-Cyclohexylpropan-1-One  (3R,4R,5S,6S)-2-Methyl-6-[(9S,10R,13R,14...  5-Methyl-3-Phenoxymethyl-1-Aza-4,6-Dioxa...  Methyl 2-(3,5-Dihydroxy-4-Methoxy-6-Meth...  Methyl 2-(3,5-Dihydroxy-4-Methoxy-6-Meth...  Methyl 2-[10-[4-Amino-5-(5-Hydroxy-4-Met...  5-Methyl-4-[[4-(Trifluoromethyl)Phenyl]C...  4-[7-[4-(4-Carboxy-3-Methoxy-2,5,6-Trime...  9-[(2R,3R,5S)-3-Fluoro-5-(Hydroxymethyl)...  (2S,3R,4S,5R)-2-[6-Amino-8-(2-Hydroxypro...  Tetrahydroaldosterone