基本信息
| 产品名称 |
(2R)-3-羟基-2-(3-羟基-3,7,11,15-四甲基十六烷氧基)-2-(3-膦酰丙基氨基)-3-(3,7,11,15-四甲基十六烷氧基)丙酸 |
| 英文名 |
(2R)-3-Hydroxy-2-(3-Hydroxy-3,7,11,15-Tetramethylhexadecoxy)-2-(3-Phosphonopropylamino)-3-(3,7,11,15-Tetramethylhexadecoxy)Propanoic Acid |
| 别名 |
(2R)-3-Hydroxy-2-(3-Hydroxy-3,7,11,15-Tetramethyl-Hexadecoxy)-2-(3-Phosphonopropylamino)-3-(3,7,11,15-Tetramethylhexadecoxy)Propanoic Acid; (2R)-3-Hydroxy-2-(3-Hydroxy-3,7,11,15-Tetramethyl-Hexadecoxy)-2-(3-Phosphonopropylamino)-3-(3,7,11,15-Tetramethylhexadecoxy)Propionic Acid; Hydroxyarchaetidylserine |
|
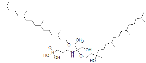
| 分子结构 |
 |
| 分子式 |
C46H94NO9P |
| 分子量 |
836.22 |
| CAS 登录号 |
134044-67-0 |
| 分子行输入简码 SMILES |
[C@@](C(=O)O)(NCCC[P](O)(O)=O)(C(O)OCCC(CCCC(CCCC(CCCC(C)C)C)C)C)OCCC(CCCC(CCCC(CCCC(C)C)C)C)(C)O |
| 国际化学标识码 InChI |
1S/C46H94NO9P/c1-36(2)18-11-20-38(5)22-13-24-40(7)25-15-27-42(9)29-33-55-44(50)46(43(48)49,47-32-17-35-57(52,53)54)56-34-31-45(10,51)30-16-28-41(8)26-14-23-39(6)21-12-19-37(3)4/h36-42,44,47,50-51H,11-35H2,1-10H3,(H,48,49)(H2,52,53,54)/t38?,39?,40?,41?,42?,44?,45?,46-/m0/s1 |
| 国际化学标识检索码 InChIKey |
DDMAQIPVNFTVKV-SZFILMRRSA-N |
|