Online Database of Chemicals from Around the World

二脱乙酰基叶下珠醇抑制剂3
[CAS# 132282-95-2]

供应商
CAS#: 132282-95-2
产品: 二脱乙酰基叶下珠醇抑制剂3
暂时没有厂家供应该产品。
基本信息
产品名称 二脱乙酰基叶下珠醇抑制剂3
英文名 Didesacetylphyllanthostatin 3
别名 [4,5-Dihydroxy-6-Methyl-3-(3,4,5-Trihydroxy-6-Methyl-Tetrahydropyran-2-Yl)Oxy-Tetrahydropyran-2-Yl] 3-Hydroxy-3-(Hydroxymethyl)-5'-Methyl-4'-[(E)-3-Phenylprop-2-Enoyl]Oxy-Spiro[3A,4,5,6,7,7A-Hexahydrobenzofuran-2,2'-Tetrahydropyran]-6-Carboxylate; 3-Hydroxy-3-(Hydroxymethyl)-5'-Methyl-4'-[(E)-1-Oxo-3-Phenylprop-2-Enoxy]-6-Spiro[3A,4,5,6,7,7A-Hexahydrobenzofuran-2,2'-Tetrahydropyran]Carboxylic Acid [4,5-Dihydroxy-6-Methyl-3-[(3,4,5-Trihydroxy-6-Methyl-2-Tetrahydropyranyl)Oxy]-2-Tetrahydropyranyl] Ester; 3-Hydroxy-5'-Methyl-3-Methylol-4'-[(E)-3-Phenylacryloyl]Oxy-Spiro[3A,4,5,6,7,7A-Hexahydrobenzofuran-2,2'-Tetrahydropyran]-6-Carboxylic Acid [4,5-Dihydroxy-6-Methyl-3-(3,4,5-Trihydroxy-6-Methyl-Tetrahydropyran-2-Yl)Oxy-Tetrahydropyran-2-Yl] Ester
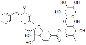
分子结构 CAS 登录号:132282-95-2, 二脱乙酰基叶下珠醇抑制剂3
分子式 C36H50O16
分子量 738.78
CAS 登录号 132282-95-2
分子行输入简码 SMILES C6=C(/C=C/C(OC1CC5(OCC1C)OC4CC(C(=O)OC3C(OC2C(C(C(C(O2)C)O)O)O)C(C(C(O3)C)O)O)CCC4C5(O)CO)=O)C=CC=C6
国际化学标识码 InChI 1S/C36H50O16/c1-17-15-46-36(14-24(17)49-25(38)12-9-20-7-5-4-6-8-20)35(45,16-37)22-11-10-21(13-23(22)52-36)32(44)51-34-31(29(42)27(40)19(3)48-34)50-33-30(43)28(41)26(39)18(2)47-33/h4-9,12,17-19,21-24,26-31,33-34,37,39-43,45H,10-11,13-16H2,1-3H3/b12-9+
国际化学标识检索码 InChIKey NFIKENQZHUEHDM-FMIVXFBMSA-N
物理化学性质
密度 1.471g/cm3 (计算值)
沸点 902.163°C at 760 mmHg (计算值)
闪点 277.091°C (计算值)
市场分析报告
请浏览二脱乙酰基叶下珠醇抑制剂3市场分析报告总目录
相关产品
3,4'-二羟基-3-(羟基甲基)-5'-甲基螺[...  2-丙基-1H-吲哚  三(2-苯基苯基)磷酸酯  4-氨基-5-P-甲苯基-4H-[1,2,4]三唑...  4-氨基-3-巯基-5-(2-氯苯基)-[1,2,...  蝗焦肌肽  (3beta,9beta,10alpha,17al...  3-[(2S,3R,4S,5R,6R)-3-[(2...  2-(2,4-二甲基戊烷-3-基氧基)乙醇  2-乙基-4-硝基-1H-咪唑  1,2-二甲基-4-硝基-1H-咪唑  2-(2-甲基-4-硝基-咪唑-1-基)乙酸乙酯  N-(5-乙基-1,3,4-噻二唑-2-基)-2-...  1-烯丙基-2-甲基-5-硝基-1H-咪唑  3-[(4-硝基-2,1,3-苯并恶二唑-7-基)...