基本信息
| 产品名称 |
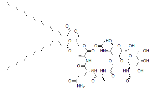
N-乙酰基胞壁酰-丙氨酰-异谷氨酰胺酰-丙氨酰-甘油二棕榈酰-N-乙酰基葡萄糖胺 |
| 英文名 |
N-Acetylmuramyl-alanyl-isoglutaminyl-alanyl-glycerol dipalmitoyl-N-Acetylglucosamine |
| 别名 |
[1-[[(2S)-2-[[(2R)-2-[[(2S)-2-[2-[(2S,3R,4R,5S,6R)-3-Acetamido-5-[(2S,3R,4R,5S,6R)-3-Acetamido-4,5-Dihydroxy-6-(Hydroxymethyl)Tetrahydropyran-2-Yl]Oxy-2-Hydroxy-6-(Hydroxymethyl)Tetrahydropyran-4-Yl]Oxypropanoylamino]Propanoyl]Amino]-5-Amino-5-Oxo-Pentanoyl]Amino]Propanoyl]Oxymethyl]-2-Hexadecanoyloxy-Ethyl] Hexadecanoate; Hexadecanoic Acid [1-[[(2S)-2-[[(2R)-2-[[(2S)-2-[[2-[[(2S,3R,4R,5S,6R)-3-Acetamido-5-[[(2S,3R,4R,5S,6R)-3-Acetamido-4,5-Dihydroxy-6-(Hydroxymethyl)-2-Tetrahydropyranyl]Oxy]-2-Hydroxy-6-(Hydroxymethyl)-4-Tetrahydropyranyl]Oxy]-1-Oxopropyl]Amino]-1-Oxopropyl]Amino]-5-Amino-1,5-Dioxopentyl]Amino]-1-Oxopropoxy]Methyl]-2-(1-Oxohexadecoxy)Ethyl] Ester; Palmitic Acid [1-[[(2S)-2-[[(2R)-2-[[(2S)-2-[2-[(2S,3R,4R,5S,6R)-3-Acetamido-5-[(2S,3R,4R,5S,6R)-3-Acetamido-4,5-Dihydroxy-6-Methylol-Tetrahydropyran-2-Yl]Oxy-2-Hydroxy-6-Methylol-Tetrahydropyran-4-Yl]Oxypropanoylamino]Propanoyl]Amino]-5-Amino-5-Keto-Pentanoyl]Amino]Propanoyl]Oxymethyl]-2-Hexadecanoyloxy-Ethyl] Ester |
|
| 分子结构 |
 |
| 分子式 |
C65H116N6O21 |
| 分子量 |
1317.66 |
| CAS 登录号 |
130114-83-9 |
| 分子行输入简码 SMILES |
[C@H]2(O[C@@H]1O[C@@H]([C@@H](O)[C@H](O)[C@H]1NC(=O)C)CO)[C@H](OC(C(=O)N[C@H](C(=O)N[C@@H](C(=O)N[C@H](C(OCC(OC(=O)CCCCCCCCCCCCCCC)COC(=O)CCCCCCCCCCCCCCC)=O)C)CCC(=O)N)C)C)[C@@H](NC(=O)C)[C@H](O[C@@H]2CO)O |
| 国际化学标识码 InChI |
1S/C65H116N6O21/c1-8-10-12-14-16-18-20-22-24-26-28-30-32-34-52(77)86-40-47(89-53(78)35-33-31-29-27-25-23-21-19-17-15-13-11-9-2)41-87-63(84)43(4)68-62(83)48(36-37-51(66)76)71-60(81)42(3)67-61(82)44(5)88-59-55(70-46(7)75)64(85)90-50(39-73)58(59)92-65-54(69-45(6)74)57(80)56(79)49(38-72)91-65/h42-44,47-50,54-59,64-65,72-73,79-80,85H,8-41H2,1-7H3,(H2,66,76)(H,67,82)(H,68,83)(H,69,74)(H,70,75)(H,71,81)/t42-,43-,44?,47?,48+,49+,50+,54+,55+,56+,57+,58+,59+,64-,65-/m0/s1 |
| 国际化学标识检索码 InChIKey |
IDKXCZLQTHWOAT-KMANSXJTSA-N |
|