Online Database of Chemicals from Around the World

叔丁基氧羰基-缬氨酰-丙氨酰-亮氨酰-2-氨基异丁酰基-缬氨酰-丙氨酰-亮氨酰-2-氨基异丁酰基甲酯
[CAS# 127363-91-1]

供应商
CAS#: 127363-91-1
产品: 叔丁基氧羰基-缬氨酰-丙氨酰-亮氨酰-2-氨基异丁酰基-缬氨酰-丙氨酰-亮氨酰-2-氨基异丁酰基甲酯
暂时没有厂家供应该产品。
基本信息
产品名称 叔丁基氧羰基-缬氨酰-丙氨酰-亮氨酰-2-氨基异丁酰基-缬氨酰-丙氨酰-亮氨酰-2-氨基异丁酰基甲酯
英文名 Tert-Butyloxycarbonyl-Valyl-Alanyl-Leucyl-2-Aminoisobutyryl-Valyl-Alanyl-Leucyl-2-Aminoisobutyryl Methyl Ester
别名 Methyl 2-[[(2S)-2-[[(2S)-2-[[(2S)-2-[[2-[[(2S)-2-[[(2S)-2-[[(2S)-2-(Tert-Butoxycarbonylamino)-3-Methyl-Butanoyl]Amino]Propanoyl]Amino]-4-Methyl-Pentanoyl]Amino]-2-Methyl-Propanoyl]Amino]-3-Methyl-Butanoyl]Amino]Propanoyl]Amino]-4-Methyl-Pentanoyl]Amino]-2-Methyl-Propanoate; 2-[[(2S)-2-[[(2S)-2-[[(2S)-2-[[2-[[(2S)-2-[[(2S)-2-[[(2S)-2-[(Tert-Butoxy-Oxomethyl)Amino]-3-Methyl-1-Oxobutyl]Amino]-1-Oxopropyl]Amino]-4-Methyl-1-Oxopentyl]Amino]-2-Methyl-1-Oxopropyl]Amino]-3-Methyl-1-Oxobutyl]Amino]-1-Oxopropyl]Amino]-4-Methyl-1-Oxopentyl]Amino]-2-Methylpropanoic Acid Methyl Ester; 2-[[(2S)-2-[[(2S)-2-[[(2S)-2-[[2-[[(2S)-2-[[(2S)-2-[[(2S)-2-(Tert-Butoxycarbonylamino)-3-Methyl-Butanoyl]Amino]Propanoyl]Amino]-4-Methyl-Pentanoyl]Amino]-2-Methyl-Propanoyl]Amino]-3-Methyl-Butanoyl]Amino]Propanoyl]Amino]-4-Methyl-Pentanoyl]Amino]-2-Methyl-Propionic Acid Methyl Ester
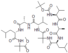
分子结构 CAS 登录号:127363-91-1, 叔丁基氧羰基-缬氨酰-丙氨酰-亮氨酰-2-氨基异丁酰基-缬氨酰-丙氨酰-亮氨酰-2-氨基异丁酰基甲酯
分子式 C42H76N8O11
分子量 869.11
CAS 登录号 127363-91-1
分子行输入简码 SMILES [C@H](C(NC(C(=O)OC)(C)C)=O)(NC([C@@H](NC([C@@H](NC(C(NC([C@@H](NC([C@@H](NC([C@@H](NC(=O)OC(C)(C)C)C(C)C)=O)C)=O)CC(C)C)=O)(C)C)=O)C(C)C)=O)C)=O)CC(C)C
国际化学标识码 InChI 1S/C42H76N8O11/c1-21(2)19-27(45-32(52)26(10)44-36(56)30(24(7)8)48-39(59)61-40(11,12)13)33(53)49-41(14,15)37(57)47-29(23(5)6)35(55)43-25(9)31(51)46-28(20-22(3)4)34(54)50-42(16,17)38(58)60-18/h21-30H,19-20H2,1-18H3,(H,43,55)(H,44,56)(H,45,52)(H,46,51)(H,47,57)(H,48,59)(H,49,53)(H,50,54)/t25-,26-,27-,28-,29-,30-/m0/s1
国际化学标识检索码 InChIKey RSDDIXBRSNNUJI-WPMUBMLPSA-N
物理化学性质
密度 1.11g/cm3 (计算值)
沸点 1082.939°C at 760 mmHg (计算值)
闪点 608.739°C (计算值)
市场分析报告
请浏览叔丁基氧羰基-缬氨酰-丙氨酰-亮氨酰-2-氨基异丁酰基-缬氨酰-丙氨酰-亮氨酰-2-氨基异丁酰基甲酯市场分析报告总目录
相关产品
(1,4a-二甲基-7-丙-2-基-2,3,4,4...  三乙酰氧基锑氧化物  4-(4-吗啉基)-6-丙基-1,3,5-三嗪-2...  2-(羟基甲基)-2-((4-(4-吗啉基)-6-...  2-甲基-2-((4-(4-吗啉基)-6-丙基-1...  2-[苄基-(4-吗啉-4-基-6-丙基-1,3,...  3,4-二甲基-N-(4-吗啉-4-基-6-丙基-...  2-(巯基甲基)-4-甲基戊酸  N6-(2,4-二硝基苯基)-N2-(1-(N-(...  3,3',5,5'-四氯联苯  1,7-二(2-羟基苄基)-4-(4-氨基苄基)二...  3'-(甲基氨茴酰)-2'-脱氧-鸟苷二磷酸酯  1,4-二(2-甲基戊氧基)-1,4-二氧代丁烷-...  硫化锡  氧化钛磷酸酯