Online Database of Chemicals from Around the World

N(epsilon)-(重氮基三氟乙基)苯甲酰基-赖氨酰(8)-环孢菌素
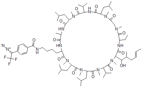
[CAS# 126871-92-9]

供应商
CAS#: 126871-92-9
产品: N(epsilon)-(重氮基三氟乙基)苯甲酰基-赖氨酰(8)-环孢菌素
暂时没有厂家供应该产品。
基本信息
产品名称 N(epsilon)-(重氮基三氟乙基)苯甲酰基-赖氨酰(8)-环孢菌素
英文名 N(epsilon)-(Diazotrifluoroethyl)benzoyl-lys(8)-cyclosporin
别名 [4-(1-Diazonio-2,2,2-Trifluoro-Ethylidene)-1-Cyclohexa-2,5-Dienylidene]-[4-[17-Ethyl-14-[(E)-1-Hydroxy-2-Methyl-Hex-4-Enyl]-5,8,23,29-Tetraisobutyl-11,26-Diisopropyl-4,7,10,13,19,22,28,32-Octamethyl-3,6,9,12,15,18,21,24,27,30,33-Undecaoxo-1,4,7,10,13,16,19,22,25,28,31-Undecazacyclotritriacont-2-Yl]Butylamino]Methanolate; [4-(1-Diazonio-2,2,2-Trifluoroethylidene)-1-Cyclohexa-2,5-Dienylidene]-[4-[17-Ethyl-14-[(E)-1-Hydroxy-2-Methylhex-4-Enyl]-5,8,23,29-Tetraisobutyl-11,26-Diisopropyl-4,7,10,13,19,22,28,32-Octamethyl-3,6,9,12,15,18,21,24,27,30,33-Undecaoxo-1,4,7,10,13,16,19,22,25,28,31-Undecazacyclotritriacont-2-Yl]Butylamino]Methanolate; [4-(1-Diazonio-2,2,2-Trifluoro-Ethylidene)-1-Cyclohexa-2,5-Dienylidene]-[4-[17-Ethyl-14-[(E)-1-Hydroxy-2-Methyl-Hex-4-Enyl]-5,8,23,29-Tetraisobutyl-11,26-Diisopropyl-3,6,9,12,15,18,21,24,27,30,33-Undecaketo-4,7,10,13,19,22,28,32-Octamethyl-1,4,7,10,13,16,19,22,25,28,31-Undecazacyclotritriacont-2-Yl]Butylamino]Methanolate
分子结构 CAS 登录号:126871-92-9, N(epsilon)-(重氮基三氟乙基)苯甲酰基-赖氨酰(8)-环孢菌素
分子式 C74H121F3N14O13
分子量 1471.85
CAS 登录号 126871-92-9
分子行输入简码 SMILES [N+](=[N-])=C(C1=CC=C(C=C1)C(=O)NCCCCC2NC(=O)C(NC(=O)C(N(C(=O)C(NC(=O)C(N(C(=O)CN(C(=O)C(NC(=O)C(N(C(=O)C(N(C(=O)C(N(C(=O)C(N(C2=O)C)CC(C)C)C)CC(C)C)C)C(C)C)C)C(O)C(C\C=C\C)C)CC)C)C)CC(C)C)C(C)C)C)CC(C)C)C)C(F)(F)F
国际化学标识码 InChI 1S/C74H121F3N14O13/c1-24-26-29-47(15)61(93)60-67(98)81-51(25-2)68(99)85(17)40-57(92)86(18)53(36-41(3)4)66(97)83-58(45(11)12)72(103)87(19)54(37-42(5)6)65(96)80-48(16)63(94)82-52(30-27-28-35-79-64(95)50-33-31-49(32-34-50)62(84-78)74(75,76)77)69(100)88(20)55(38-43(7)8)70(101)89(21)56(39-44(9)10)71(102)90(22)59(46(13)14)73(104)91(60)23/h24,26,31-34,41-48,51-56,58-61,93H,25,27-30,35-40H2,1-23H3,(H,79,95)(H,80,96)(H,81,98)(H,82,94)(H,83,97)/b26-24+
国际化学标识检索码 InChIKey MJGNMTOCIMTJOT-SHHOIMCASA-N
市场分析报告
请浏览N(epsilon)-(重氮基三氟乙基)苯甲酰基-赖氨酰(8)-环孢菌素市场分析报告总目录
相关产品
2-甲氧基阿扑吗啡  2-甲氧基-N-N-丙基去甲阿朴吗啡  纳曲吲哚异硫氰酸酯  硫化锰  蔷真菌素  簇生黄韧伞酸B  簇生黄韧伞酸C  铋化镍  4-(5-(5-(4-甲基-1-哌嗪基)-1H-咪...  二碲化镓  簇生黄韧伞酸A  N-乙酰基牛磺酰基苯丙氨酸甲酯  2'-二甲基-叔丁基硅烷基-N(2)-(N,N-二...  正丁基 2'-二甲基-叔丁基硅烷基-N(2)-(N...  3-(羟基甲基)-苯甲酰胺