Online Database of Chemicals from Around the World

苏氨酰-酪氨酰-异亮氨酰-半胱氨酰-谷氨酰-缬氨酰-谷氨酰-天冬氨酰-谷氨酰胺酰-赖氨酰-谷氨酰-谷氨酸
[CAS# 126144-46-5]

供应商
CAS#: 126144-46-5
产品: 苏氨酰-酪氨酰-异亮氨酰-半胱氨酰-谷氨酰-缬氨酰-谷氨酰-天冬氨酰-谷氨酰胺酰-赖氨酰-谷氨酰-谷氨酸
暂时没有厂家供应该产品。
基本信息
产品名称 苏氨酰-酪氨酰-异亮氨酰-半胱氨酰-谷氨酰-缬氨酰-谷氨酰-天冬氨酰-谷氨酰胺酰-赖氨酰-谷氨酰-谷氨酸
英文名 Threonyl-tyrosyl-isoleucyl-cysteinyl-glutamyl-valyl-glutamyl-aspartyl-glutaminyl-lysyl-glutamyl-glutamic acid
别名 Cd4(81-92); L-Glutamic Acid, N-(N-(N2-(N2-(N-(N-(N-(N-(N-(N-(N-L-Threonyl-L-Tyrosyl)-L-Isoleucyl)-L-Cysteinyl)-L-Alpha-Glutamyl)-L-Valyl)-L-Alpha-Glutamyl)-L-Alpha-Aspartyl)-L-Glutaminyl)-L-Lysyl)-L-Alpha-Glutamyl)-; N-(N-(N2-(N2-(N-(N-(N-(N-(N-(N-(N-L-Threonyl-L-Tyrosyl)-L-Isoleucyl)-L-Cysteinyl)-L-Alpha-Glutamyl)-L-Valyl)-L-Alpha-Glutamyl)-L-Alpha-Aspartyl)-L-Glutaminyl)-L-Lysyl)-L-Alpha-Glutamyl)-L-Glutamic Acid
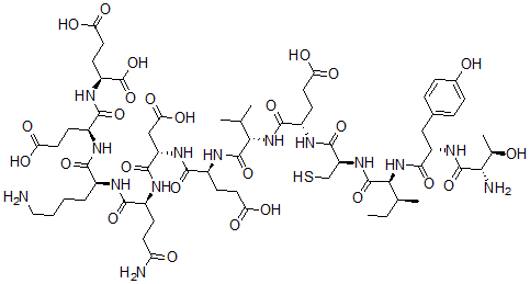
分子结构 CAS 登录号:126144-46-5, 苏氨酰-酪氨酰-异亮氨酰-半胱氨酰-谷氨酰-缬氨酰-谷氨酰-天冬氨酰-谷氨酰胺酰-赖氨酰-谷氨酰-谷氨酸
分子式 C62H96N14O26S
分子量 1485.58
CAS 登录号 126144-46-5
分子行输入简码 SMILES [C@@H](C(C)C)(NC(=O)[C@@H](NC([C@@H](NC([C@@H](NC([C@H](CC1=CC=C(C=C1)O)NC([C@H]([C@@H](C)O)N)=O)=O)[C@H](CC)C)=O)CS)=O)CCC(O)=O)C(=O)N[C@@H](CCC(O)=O)C(=O)N[C@@H](CC(O)=O)C(=O)N[C@@H](CCC(N)=O)C(=O)N[C@H](C(N[C@H](C(N[C@@H](CCC(O)=O)C(O)=O)=O)CCC(O)=O)=O)CCCCN
国际化学标识码 InChI 1S/C62H96N14O26S/c1-6-29(4)50(76-57(96)39(73-59(98)48(65)30(5)77)25-31-10-12-32(78)13-11-31)61(100)74-41(27-103)58(97)69-37(17-22-45(84)85)55(94)75-49(28(2)3)60(99)70-36(16-21-44(82)83)54(93)72-40(26-47(88)89)56(95)68-34(14-19-42(64)79)52(91)66-33(9-7-8-24-63)51(90)67-35(15-20-43(80)81)53(92)71-38(62(101)102)18-23-46(86)87/h10-13,28-30,33-41,48-50,77-78,103H,6-9,14-27,63,65H2,1-5H3,(H2,64,79)(H,66,91)(H,67,90)(H,68,95)(H,69,97)(H,70,99)(H,71,92)(H,72,93)(H,73,98)(H,74,100)(H,75,94)(H,76,96)(H,80,81)(H,82,83)(H,84,85)(H,86,87)(H,88,89)(H,101,102)/t29-,30+,33-,34-,35-,36-,37-,38-,39-,40-,41-,48-,49-,50-/m0/s1
国际化学标识检索码 InChIKey AZDASIIAIPAELA-UCEFLIQFSA-N
物理化学性质
密度 1.387g/cm3 (计算值)
沸点 1931.7°C at 760 mmHg (计算值)
闪点 1122.1°C (计算值)
市场分析报告
请浏览苏氨酰-酪氨酰-异亮氨酰-半胱氨酰-谷氨酰-缬氨酰-谷氨酰-天冬氨酰-谷氨酰胺酰-赖氨酰-谷氨酰-谷氨酸市场分析报告总目录
相关产品
N-羟基-alpha-甲基-2-氧代-4-苯基-1...  5-(1-金刚烷基)-2-羟基苯甲酸  (3-beta,20-beta)-29-(十七烷基...  (3-beta,20-beta)-29-(环己基氨...  (3-beta,20-beta)-29-((2-羟...  (Z)-((2-氨基-5-甲基苯基)苯基亚甲基)苯...  爪哇镰菌素C  (2S,4S,5R,6R)-5-乙酰氨基-2-[(...  11,18-环氧-2,3,18,21-四羟基孕甾烷...  爪哇镰菌素A  爪哇镰菌素D  2,6-二(4-氨基苯基)-4-(4-(二甲基氨基...  2-氨基-1-[2-(3,6-二氢-6-亚氨基-2...  四[4-(二甲基氨基)苯基]乙烯  脱氧青蒿素