Online Database of Chemicals from Around the World

L-Seryl-L-Prolyl-L-Valyl-L-Threonyl-L-Leucyl-L-alpha-Aspartyl-L-Leucyl-L-Arginyl-L-Tyrosine
[CAS# 122299-11-0]

Suppliers
BOC Sciences USA Inquire  
+1 (631) 485-4226
info@bocsci.com
Skype Chat
Chemical distributor
chemBlink massive supplier since 2012
International Laboratory Limited USA Inquire  
+1 (650) 278-9963
admin@intlab.org
Chemical manufacturer since 2002
Identification
Name L-Seryl-L-Prolyl-L-Valyl-L-Threonyl-L-Leucyl-L-alpha-Aspartyl-L-Leucyl-L-Arginyl-L-Tyrosine
Synonyms (3S)-4-[[(1S)-1-[[(1S)-4-Guanidino-1-[[(1S)-2-[[(1S)-2-Hydroxy-1-(Hydroxymethyl)-2-Oxo-Ethyl]Amino]-1-[(4-Hydroxyphenyl)Methyl]-2-Oxo-Ethyl]Carbamoyl]Butyl]Carbamoyl]-3-Methyl-Butyl]Amino]-3-[[(2S)-2-[[(2S,3R)-3-Hydroxy-2-[[(2S)-3-Methyl-2-[[(2S)-Pyrrolidine-2-Carbonyl]Amino]Butanoyl]Amino]Butanoyl]Amino]-4-Methyl-Pentanoyl]Amino]-4-Oxo-Butanoic Acid; (3S)-4-[[(1S)-1-[[[(1S)-4-Guanidino-1-[[[(1S)-2-[[(1S)-2-Hydroxy-1-(Hydroxymethyl)-2-Oxoethyl]Amino]-1-[(4-Hydroxyphenyl)Methyl]-2-Oxoethyl]Amino]-Oxomethyl]Butyl]Amino]-Oxomethyl]-3-Methylbutyl]Amino]-3-[[(2S)-2-[[(2S,3R)-3-Hydroxy-2-[[(2S)-3-Methyl-1-Oxo-2-[[Oxo-[(2S)-2-Pyrrolidinyl]Methyl]Amino]Butyl]Amino]-1-Oxobutyl]Amino]-4-Methyl-1-Oxopentyl]Amino]-4-Oxobutanoic Acid; (3S)-4-[[(1S)-1-[[(1S)-4-Guanidino-1-[[(1S)-1-(4-Hydroxybenzyl)-2-[[(1S)-2-Hydroxy-2-Keto-1-Methylol-Ethyl]Amino]-2-Keto-Ethyl]Carbamoyl]Butyl]Carbamoyl]-3-Methyl-Butyl]Amino]-3-[[(2S)-2-[[(2S,3R)-3-Hydroxy-2-[[(2S)-3-Methyl-2-(Prolylamino)Butanoyl]Amino]Butanoyl]Amino]-4-Methyl-Pentanoyl]Amino]-4-Keto-Butyric Acid
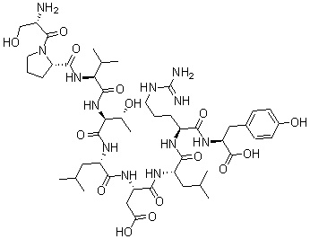
Molecular Structure CAS#: 122299-11-0, L-Seryl-L-Prolyl-L-Valyl-L-Threonyl-L-Leucyl-L-alpha-Aspartyl-L-Leucyl-L-Arginyl-L-Tyrosine
Molecular Formula C48H78N12O15
Molecular Weight 1063.22
CAS Registry Number 122299-11-0
SMILES [C@@H]1(NCCC1)C(=O)N[C@@H](C(C)C)C(=O)N[C@@H]([C@H](O)C)C(=O)N[C@@H](CC(C)C)C(=O)N[C@H](C(=O)N[C@@H](CC(C)C)C(=O)N[C@@H](CCCN=C(N)N)C(=O)N[C@@H](CC2=CC=C(O)C=C2)C(=O)N[C@@H](CO)C(O)=O)CC(O)=O
InChI 1S/C48H78N12O15/c1-23(2)18-31(41(68)53-30(11-9-17-52-48(49)50)40(67)55-33(20-27-12-14-28(63)15-13-27)43(70)58-35(22-61)47(74)75)54-44(71)34(21-36(64)65)56-42(69)32(19-24(3)4)57-46(73)38(26(7)62)60-45(72)37(25(5)6)59-39(66)29-10-8-16-51-29/h12-15,23-26,29-35,37-38,51,61-63H,8-11,16-22H2,1-7H3,(H,53,68)(H,54,71)(H,55,67)(H,56,69)(H,57,73)(H,58,70)(H,59,66)(H,60,72)(H,64,65)(H,74,75)(H4,49,50,52)/t26-,29+,30+,31+,32+,33+,34+,35+,37+,38+/m1/s1
InChIKey AHWKRDTXAJKKKX-WWRYCTMDSA-N
Properties
Density 1.44g/cm3 (Cal.)
Market Analysis Reports
List of Reports Available for L-Seryl-L-Prolyl-L-Valyl-L-Threonyl-L-Leucyl-L-alpha-Aspartyl-L-Leucyl-L-Arginyl-L-Tyrosine
Related Products
Dosmalfate  2-Phenoxy-Propanoyl Chloride  Disperse Blue 94  Disperse Brown 1  Disperse Red 92  1-Amino-4-[[4-[[4-Chloro-6-[[3(Or4)-Sulf...  Pigment Blue 1  Disperse Orange 56  Butyl Phenylacetate  (2E)-2-Cyano-3-(3,4-Dihydroxyphenyl)-2-P...  Protriptyline Hydrochloride  (Dimethyl)[10H-Pyrido[3,2-b][1,4]Benzoth...  (5Z,11A,13E,15R)-11,15-Dihydroxy-16,16-D...  Iron Oxide (Fe2o3) Hydrate  Bismuth Iodide