Online Database of Chemicals from Around the World

[1-(2-乙基氨基乙氧基-羟基磷酰)氧基-3-[(E)-十八碳-9-烯酰基]氧基丙-2-基](E)-十八碳-9-烯酸酯
[CAS# 121521-33-3]

供应商
CAS#: 121521-33-3
产品: [1-(2-乙基氨基乙氧基-羟基磷酰)氧基-3-[(E)-十八碳-9-烯酰基]氧基丙-2-基](E)-十八碳-9-烯酸酯
暂时没有厂家供应该产品。
基本信息
产品名称 [1-(2-乙基氨基乙氧基-羟基磷酰)氧基-3-[(E)-十八碳-9-烯酰基]氧基丙-2-基](E)-十八碳-9-烯酸酯
英文名 [1-(2-Ethylaminoethoxy-Hydroxyphosphoryl)Oxy-3-[(E)-Octadec-9-Enoyl]Oxypropan-2-Yl] (E)-Octadec-9-Enoate
别名 [1-[(2-Ethylaminoethoxy-Hydroxy-Phosphoryl)Oxymethyl]-2-[(E)-Octadec-9-Enoyl]Oxy-Ethyl] (E)-Octadec-9-Enoate; (E)-Octadec-9-Enoic Acid [1-[(2-Ethylaminoethoxy-Hydroxyphosphoryl)Oxymethyl]-2-[(E)-1-Oxooctadec-9-Enoxy]Ethyl] Ester; (E)-Octadec-9-Enoic Acid [1-[(2-Ethylaminoethoxy-Hydroxy-Phosphoryl)Oxymethyl]-2-[(E)-Octadec-9-Enoyl]Oxy-Ethyl] Ester
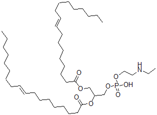
分子结构 CAS 登录号:121521-33-3, [1-(2-乙基氨基乙氧基-羟基磷酰)氧基-3-[(E)-十八碳-9-烯酰基]氧基丙-2-基](E)-十八碳-9-烯酸酯
分子式 C43H82NO8P
分子量 772.10
CAS 登录号 121521-33-3
分子行输入简码 SMILES C(C(OC(CO[P](OCCNCC)(O)=O)COC(=O)CCCCCCC\C=C\CCCCCCCC)=O)CCCCCC\C=C\CCCCCCCC
国际化学标识码 InChI 1S/C43H82NO8P/c1-4-7-9-11-13-15-17-19-21-23-25-27-29-31-33-35-42(45)49-39-41(40-51-53(47,48)50-38-37-44-6-3)52-43(46)36-34-32-30-28-26-24-22-20-18-16-14-12-10-8-5-2/h19-22,41,44H,4-18,23-40H2,1-3H3,(H,47,48)/b21-19+,22-20+
国际化学标识检索码 InChIKey DZYSBRAFLSOLER-FLFKKZLDSA-N
物理化学性质
密度 0.995g/cm3 (计算值)
沸点 769.183°C at 760 mmHg (计算值)
闪点 418.987°C (计算值)
市场分析报告
请浏览[1-(2-乙基氨基乙氧基-羟基磷酰)氧基-3-[(E)-十八碳-9-烯酰基]氧基丙-2-基](E)-十八碳-9-烯酸酯市场分析报告总目录
相关产品
[4-[(E)-1-吡啶-2-基-3-吡咯烷-1-...  L-精氨酸与5-甲氧基-3-(1-甲基乙氧基)-1...  (3R)-壬烷-1,3-二醇  三羰基(1,2,3,4-四氢萘)铬  N'-(苯基甲基)苯甲酰肼  N,N'-二(2-甲基苯基)甲烷二亚胺  2-甲氧基乙基2,2,2-三氟乙烷磺酸酯  1-[(2R,3S,4R,5R)-3-氟-4-羟基...  21-氯达那唑  21-氯-6-去氢达那唑  (8beta(反式))-N-(4-羟基环己基)-6...  (5R,6S)-5-羟基-2-甲基-6-[(3R,...  2,3,9,10,11,12-六氢-3-羟基-9-...  (2E)-2-[(3-氨基-2,4,6-三碘苯基)...  (Z)-7-[(1S,2R,3R,5S)-6,6-...