Online Database of Chemicals from Around the World

Patellamide D
[CAS# 120853-15-8]

Suppliers
CAS#: 120853-15-8
Product: Patellamide D
No suppilers available for the product.
Identification
Name Patellamide D
Synonyms Ulithiacyclamide, 1,15-De(Dithiobis(Methylene))-8,22-Dide(2-Methylpropyl)-8-Methyl-1,15-Bis(1-Methylpropyl)-22-(Phenylmethyl)-, (1S(S),8R,15S(S),22R)-; C15737
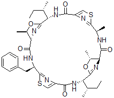
Molecular Structure CAS#: 120853-15-8, Patellamide D
Molecular Formula C38H48N8O6S2
Molecular Weight 776.97
CAS Registry Number 120853-15-8
SMILES [C@H]15N=C(O[C@@H]1C)[C@@H](NC(C2=CSC(=N2)[C@H](NC([C@@H]3[C@@H](C)OC(=N3)[C@@H](NC(C4=CSC(=N4)[C@H](NC5=O)C)=O)[C@H](CC)C)=O)CC6=CC=CC=C6)=O)[C@H](CC)C
InChI 1S/C38H48N8O6S2/c1-8-18(3)27-35-45-29(21(6)51-35)33(49)39-20(5)37-41-25(16-53-37)31(47)43-28(19(4)9-2)36-46-30(22(7)52-36)34(50)40-24(15-23-13-11-10-12-14-23)38-42-26(17-54-38)32(48)44-27/h10-14,16-22,24,27-30H,8-9,15H2,1-7H3,(H,39,49)(H,40,50)(H,43,47)(H,44,48)/t18-,19-,20+,21+,22+,24+,27-,28-,29-,30-/m0/s1
InChIKey HZUISCIYFHWTKA-WLCQTKGUSA-N
Properties
Density 1.455g/cm3 (Cal.)
Boiling point 1038.951°C at 760 mmHg (Cal.)
Flash point 582.137°C (Cal.)
Market Analysis Reports
List of Reports Available for Patellamide D
Related Products
(7R,11R,14S)-14-Demethyl-7-De(1-Methylpr...  (7R,14S)-14-Demethyl-7-De(1-Methylpropyl...  5-((4-Azidophenacyl)Thio)Uridine 5'-Trip...  1,2,4-Trimethylpiperazine  4-[4-(2-Hydroxyethylcarbamothioylamino)p...  3-(4-Tert-Butylphenyl)Propanoate  N,N'-Bis(2-Hydroxyethyl)Ethanedithioamid...  Sodium 4-(2-Methylprop-2-Enoxy)Benzenesu...  7-(Ethenyloxy)-2H-1-Benzopyran-2-One  7-Chloro-6-Fluoro-1-Ethyl-1,4-Dihydro-4-...  Tricyclopentadienyldysprosium  Bistratamide B  Desfuroyl Ceftiofur  (2-Carboxy-3-Phenylpropyl)Methylsulfodii...  Propan-2-Yl 2-Chloro-5-[3-Methyl-2,6-Dio...