Identification
| Name |
2,3-Bis(3,7,11,15-Tetramethylhexadecoxy)Propyl 3-Phosphonooxypropyl Hydrogen Phosphate |
| Synonyms |
2,3-Diphytanyl-Sn-Glycero-1-Phospho-1'-Propanediol 3'-Phosphate; Phosphoric Acid, Mono(2,3-Bis((3,7,11,15-Tetramethylhexadecyl)Oxy)Propyl) Mono(3-(Phosphonooxy)Propyl) Ester, Stereoisomer; Dpgp |
|
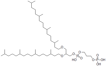
| Molecular Structure |
 |
| Molecular Formula |
C46H96O10P2 |
| Molecular Weight |
871.21 |
| CAS Registry Number |
120287-12-9 |
| SMILES |
C(O[P](=O)(OCC(COCCC(CCCC(CCCC(CCCC(C)C)C)C)C)OCCC(CCCC(CCCC(CCCC(C)C)C)C)C)O)CCO[P](=O)(O)O |
| InChI |
1S/C46H96O10P2/c1-38(2)18-11-20-40(5)22-13-24-42(7)26-15-28-44(9)30-34-52-36-46(37-56-58(50,51)55-33-17-32-54-57(47,48)49)53-35-31-45(10)29-16-27-43(8)25-14-23-41(6)21-12-19-39(3)4/h38-46H,11-37H2,1-10H3,(H,50,51)(H2,47,48,49) |
| InChIKey |
HSMGFXXXLIWRSQ-UHFFFAOYSA-N |
|