Online Database of Chemicals from Around the World

[2-(9,10-二溴十八烷酰基氧基)-3-十八烷酰基氧基丙基]2-三甲基铵乙基磷酸酯盐
[CAS# 120246-71-1]

供应商
CAS#: 120246-71-1
产品: [2-(9,10-二溴十八烷酰基氧基)-3-十八烷酰基氧基丙基]2-三甲基铵乙基磷酸酯盐
暂时没有厂家供应该产品。
基本信息
产品名称 [2-(9,10-二溴十八烷酰基氧基)-3-十八烷酰基氧基丙基]2-三甲基铵乙基磷酸酯盐
英文名 [2-(9,10-Dibromooctadecanoyloxy)-3-Octadecanoyloxypropyl] 2-Trimethylazaniumylethyl Phosphate
别名 [2-(9,10-Dibromooctadecanoyloxy)-3-Octadecanoyloxy-Propyl] 2-Trimethylammonioethyl Phosphate; [2-(9,10-Dibromo-1-Oxooctadecoxy)-3-(1-Oxooctadecoxy)Propyl] 2-Trimethylammonioethyl Phosphate; [2-(9,10-Dibromooctadecanoyloxy)-3-Stearoyloxy-Propyl] 2-Trimethylammonioethyl Phosphate
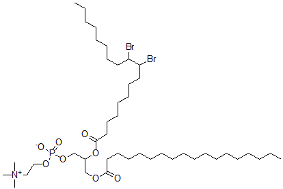
分子结构 CAS 登录号:120246-71-1, [2-(9,10-二溴十八烷酰基氧基)-3-十八烷酰基氧基丙基]2-三甲基铵乙基磷酸酯盐
分子式 C44H86Br2NO8P
分子量 947.95
CAS 登录号 120246-71-1
分子行输入简码 SMILES C(O[P](OCC[N+](C)(C)C)([O-])=O)C(OC(=O)CCCCCCCC(Br)C(Br)CCCCCCCC)COC(=O)CCCCCCCCCCCCCCCCC
国际化学标识码 InChI 1S/C44H86Br2NO8P/c1-6-8-10-12-14-15-16-17-18-19-20-21-22-26-30-34-43(48)52-38-40(39-54-56(50,51)53-37-36-47(3,4)5)55-44(49)35-31-27-23-25-29-33-42(46)41(45)32-28-24-13-11-9-7-2/h40-42H,6-39H2,1-5H3
国际化学标识检索码 InChIKey AZGVUJNTJSDJRE-UHFFFAOYSA-N
市场分析报告
请浏览[2-(9,10-二溴十八烷酰基氧基)-3-十八烷酰基氧基丙基]2-三甲基铵乙基磷酸酯盐市场分析报告总目录
相关产品
锗二钠三氧化物  硫化锗(II)  5-乙硫基-1-苯基磺酰基吡咯烷-2-酮  锰氢氧化物氧化物  锡二氢氧化物  N'-(4-甲氧基苯基)-N,N-二甲基甲脒  1-(3,4-二甲氧基苯基)丙-2-胺盐酸盐  2-(吡啶-3-基甲基)-1H-吲唑-3-酮  钾锡酸盐三水合物  二氧化钇硅酸盐  [5,5,5-三氯-1,3-二羟基-3-(2,2,...  2,3-二(3,7,11,15-四甲基十六烷氧基)...  2,3-二(3,7,11,15-四甲基十六烷氧基)...  N-乙酰基-3-(2-萘基)-D-丙氨酰-4-氯-...  N-乙酰基-3-(2-萘基)-D-丙氨酰-4-氯-...